网站首页  词典首页


请输入您要查询的字词:

 

字词 海藻酸钠
类别 中英文字词句释义及详细解析
释义

海藻酸钠


别名 藻朊酸钠

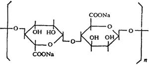
结构式

性能 白色或淡黄色粉末,几乎无臭无味。有吸湿性,不溶于乙醇、乙醚、氯仿和酸(pH<3),溶于水成粘稠状胶状液体,1%水溶液pH值为6~8。粘性在pH6~9时稳定,加热到80℃以上则粘性降低。海藻酸钠的水溶液与钙离子接触时成海藻酸钠钙而形成凝胶,但添加草酸盐、氟化物、磷酸盐等可抑制其凝固效果。

质量规格 GB1976-80

用途 化妆品中用作胶合剂、悬浮剂、增厚剂和乳化剂等。还可用于纺织助剂、止血剂等。

包装贮运 麻袋内衬塑料袋,净重25kg。防潮,防晒,严禁与酸、碱、盐混放。

国内生产厂 辽宁大连水产养殖公司、山东青岛第二海水养殖场、江苏赣榆县七二化工厂。

国外质量规格参考(JSCI-Ⅱ)

本品为褐藻类(Phacophyceac)用稀碱液提取,精制后的碳水化合物钠盐。

性状 白色~略带黄白色的粉末或颗粒,稍有特异的气味,几乎没有味道

随便看

 

离鸟网收录3541549条中英文词条,其功能与新华字典、现代汉语词典、牛津高阶英汉词典等各类中英文词典类似,基本涵盖了全部常用中英文字词句的读音、释义及用法,是语言学习和写作的有利工具。

 

Copyright © 2004-2024 vtrois.com All Rights Reserved
更新时间:2026/4/9 13:07:32