网站首页  词典首页


请输入您要查询的字词:

 

字词 消费者剩余
类别 中英文字词句释义及详细解析
释义

消费者剩余


英国经济学家马歇尔(A.Marshall)所提出的关于消费者行为理论的一个概念。指消费者为某种商品或劳务实际支付的价格与他宁愿支付而不愿得不到这些商品或劳务的价格之间的差额。

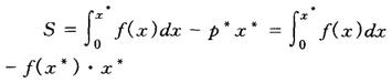
消费者剩余可作为一尺度来衡量消费者从购买力中得到的、超过按其价格计算的在购买上所做出的牺牲的满足。这一尺度包含需求和需求曲线的概念。根据边际效用递减规律,随着消费者对某一物品消费量的增加,边际效用递减。对于最初边际效用较大的物品,消费者愿意支付较高的价格,以后随着边际效用的递减,消费者只愿支付较低的价格。如表所示,在消费者购买4件衬衣时,他愿付价格为30+25+20+15=90(元),而他实际所付价格(每件15元)为15×4=60(元),其差额30元就是消费者剩余。消费者剩余并不是生产者的损失,而是双方自愿交易所带来的好处,消费者剩余可用图形来表示。图1中横轴表示某种商品的数量,纵轴表示价格,DD曲线为消费者需求曲线。假定消费者购买的数量为OQ,他所愿支付的货币总额为OABQ,但他实际支付的货币总额为OPBQ,其超过部分PAB就是消费者剩余。如果需求量函数的反函数p=f(x)是连续函数,其中p是价格,x是需求量,那么消费者剩余(用S表示)是

式中x*表示消费者均衡时的需求量。

消费者剩余也可以用无差异曲线来说明。图2中,横轴表示某种商品的数量,纵轴代表称为“货币”的复合商品的数量,距离OA表示消费者的收入。消费者在无差异曲线I2的D点达到一个切点解。如果他不能消费商品x,那他将处于较低的无差异曲线I1的A点。要使他回复到无差异曲线I2,必须给他一个收入增加量AB元。这个增量称为补偿性收入增量,用c表示,是消费者剩余的一种测量标准。在既定价格下,消费者愿意放弃AC元收入,而不愿失去消费商品x的机会。收入为OC时,他的消费由E点表示,E点和A点在同一条无差异曲线上。对应于AC的数量,称为等价收入变量,用e表示,是另一种测量消费者剩余的标准。一般情况下,有c≥S≥e。消费者剩余概念的提出使难以计量的偏好尺度转换为容易计量的货币尺度,从而可以方便地评价消费者的福利水平。

图1

图2

随便看

 

离鸟网收录3541549条中英文词条,其功能与新华字典、现代汉语词典、牛津高阶英汉词典等各类中英文词典类似,基本涵盖了全部常用中英文字词句的读音、释义及用法,是语言学习和写作的有利工具。

 

Copyright © 2004-2024 vtrois.com All Rights Reserved
更新时间:2026/5/25 7:42:44