网站首页  词典首页


请输入您要查询的字词:

 

字词 消费者需求基本矩阵方程
类别 中英文字词句释义及详细解析
释义

消费者需求基本矩阵方程


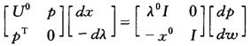
假定效用函数u(x)是二次连续可微分的,x∈X是消费丛,需求函数ψ(p,ω)定义为

ψ(p,ω)={x∈Xpx≤ω,若px′≤W则x=x′或非x′=x}

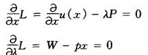
其中价格p和财富ω是预先给定的.那么经典最大化问题max{u(x)x∈X,px=ω}的解就是x0=ψ(p,ω)。考虑对应的拉格朗日函数,由极值的一阶条件得到

对应于解x0=ψ(p,ω),可以解出λ的解。用U表示u的海赛矩阵,U0为U在x0=ψ(p,ω)的值,一阶条件就化为

U0dx-λ0dp-pdλ=0

dω-pdx-x0dp=0

写成矩阵形式就是

其中I是单位矩阵(K阶),这就是消费者需求基本矩阵方程。

随便看

 

离鸟网收录3541549条中英文词条,其功能与新华字典、现代汉语词典、牛津高阶英汉词典等各类中英文词典类似,基本涵盖了全部常用中英文字词句的读音、释义及用法,是语言学习和写作的有利工具。

 

Copyright © 2004-2024 vtrois.com All Rights Reserved
更新时间:2026/4/5 15:26:52