网站首页  词典首页


请输入您要查询的字词:

 

字词 涵洞的型式
类别 中英文字词句释义及详细解析
释义

涵洞的型式


(一)圆形管涵

能承受较大的填土压力和内水压力(图2-7-31)。多采用钢筋混凝土建造,而以预制钢筋混凝土管为最普遍;管径0.8~2.5m,管壁厚为内径的1/10~1/15;其优点是构造简单,工程量小,施工方便。当泄流量大时,可采用双管或多管涵洞。

图2-7-31 填方渠道下的圆管排水涵洞

(二)矩形涵洞

1.盖板式涵洞 不能承受内水压力(图2-7-32),洞宽为2~4m。盖板多为预制钢筋混凝土板,厚度为跨径的1/5~1/12。侧墙以往多采用石砌重力式挡土墙。设计时应考虑填土弹性抗力,并利用盖板及底板作为支撑(做成轻型桥台式),以节省工程量。底板视地基条件,可做成分离式或整体式。

图2-7-32 盖板式涵洞

a-分离式底板 b-整体式底板

2.箱形涵洞 为四边封闭的钢筋混凝土整体结构(图2-7-33),其特点是对地基不均匀沉陷适应性好,可调节高宽比,能满足泄流要求。小跨径箱涵一般都做成单孔;当孔径大于2~3m时,可做成双孔或多孔。单孔箱涵壁厚一般为跨径的1/8~1/12,双孔箱涵顶板厚度为跨径的1/9~1/10,侧墙厚度为高度的1/12~1/13,隔墙厚度可稍薄。小跨径箱涵可以分段预制,现场安装。

图2-7-33 箱形涵洞

(三)拱形涵洞

能承受较大的外力,故多用于填土较高、泄流量较大的明流涵洞。对于渠下路涵,为满足车辆净空要求,也多采用拱涵。按拱的形状可分为:半圆拱(矢跨比f/l=1/2)、平拱(f/l=1/3~1/8)、高拱(f/l>1/2)、三心拱。常用半圆拱及平拱(图2-7-34)。

图2-7-34 拱形涵洞

a-高拱 b-半圆拱 c-平拱 d-三心拱

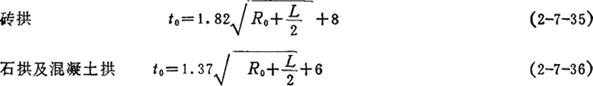
拱圈可做成等厚度或变厚度的。混凝土拱厚度不小于20cm,砌石拱厚度不小于30cm。在填方不高时,可初步按下列经验公式拟定拱圈厚度:

拱脚厚度 ts=(1.5~2.0)t0 (2-7-37)

式中 t0——圆弧拱拱顶厚度(cm)

R0——圆弧拱半径(cm)

L——圆弧拱跨径(cm)

ta——拱脚厚度(cm)

为防止拱脚出现裂缝,可砌筑护拱,其各部尺寸可按下列经验公式初步拟定:

a=0.2r+0.1f+60(cm) (2-7-38)

b=a+0.1h≮h(cm) (2-7-39)

式中 符号及各部尺寸见图(2-7-35)。

图2-7-35 拱座各部尺寸

拱座过去多采用重力式。根据国内轻型桥台圬工拱桥的实践经验,采用轻型桥台式可比重力式节约圬工量约20~30%,在拱涵中也有采用。

拱形涵洞基础以整体式为佳,但在地基良好或跨径小时可采用分离式;在软基中,采用整体式反拱底板较为经济合理,其矢跨比为1/5~1/10。

随便看

 

离鸟网收录3541549条中英文词条,其功能与新华字典、现代汉语词典、牛津高阶英汉词典等各类中英文词典类似,基本涵盖了全部常用中英文字词句的读音、释义及用法,是语言学习和写作的有利工具。

 

Copyright © 2004-2024 vtrois.com All Rights Reserved
更新时间:2026/4/7 11:31:33