为提高电解加工复制精度,常采用混气加工.所谓混气加工,如图7-20所示,就是在电解液中混入一定量的气体(通常是在NaCl电解液中混入压缩空气),通过气液混合腔使电解液雾化为气液混合物,然后送入加工区进行加工.电解液中混入空气后,其加工特性得到很大改善,其特点如下所述.
7.3.7.1 混气电解加工特点

图7-20 混气电解加工示意图
(1)改善加工质量.其原因是:电解液中混入气体后,由于气体是不导电的,加工间隙内电阻率增大,电解液的导电特性改变,且随压力的变化而变化.例如:在间隙小的地方压力高,电阻率低,电解作用强;在间隙大的地方压力低,电阻率高,电解作用减弱.这就令加工间隙趋向均匀,提高了复制精度.此外,由于气液混合物中的气体是可以压缩的,所以要考虑气体密度的变化对流速的影响.这种气体密度的变化使电解液具有强烈的搅拌作用和冲击作用,从而改善了加工间隙内的流场分布,消除了加工间隙中的“死角”.
(2)改善工具设计及减小加工后表面修磨量.由于气的引入可改善流场分布及消除间隙死角,故工具设计大为简化.同时由于加工精度的提高,加工后的表面人工修磨量大为减小.
(3)减小加工速度.由于电解液中引入空气,电阻率增大,电流密度减校故其加工速度低于一般电解加工.同时要引入空气,就必须备有气路系统,这令加工设备复杂化.一般用NaCl电解液时,混气电解加工之加工速度仅为一般电解加工速度的1/2~1/3.
7.3.7.2 加工工艺的特殊要求
混气电解加工主要工艺参数除一般电解加工的工艺参数之外,还有两个特殊要求,即气液混合比和气压大小.
气液混合比指混入电解液的气体流量与电解液流量之比.因气体体积随压力而变化,在不同压力下,气液混合比也不同.一般有两种表示法.
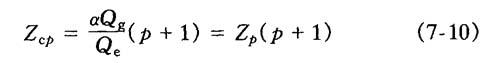
①加工压力下的气液混合比Zρ.

式中:α——气体流量计的修正系数,对于转子流量计,
p——加工压力(10-1MPa);
Qg——气体流量计所示之气体流量(m3/h);
Qe——液体流量计所示之液体流量(m3/h).
②标准状态下(一个大气压、20℃)的气液混合比Zcρ.

在生产中,这两种气液混合比都在用.生产中实践证明,取Zρ=5~8,可明显提高复制精度,改善表面质量.若Zρ过高,如Zρ>10,则电解液中含气量过高,间隙电阻过大,加工速度大为降低,且对提高复制精度、改善表面质量贡献不明显.反之,若Zρ<5,则非线性效果差,复杂精度降低.故气液混合比应视具体情况定.一般型孔加工,Zρ=5~8;叶片加工,Zρ=5~10;型腔加工,Zρ=10左右.