(一)澳氯总量的测定——碘量法
1.原理 溴素中所含游离溴和氯,用过量碘化钾与之反应,释出碘用硫代硫酸钠标准溶液滴定,即测得溴、氯总量。
2.适用范围 精溴。
3.测定手续 吸取数滴(约1g)样品,置入内盛10ml35%碘化钾溶液并已知重量的50ml容量瓶中,盖上瓶塞,摇匀,放置20~30min,溶液达室温后称量,然后加水稀释至刻度,摇匀。吸取10.00ml溶液,用0.1N硫代硫酸钠标准溶液(见表7-1-16)滴定,至淡黄色,加5ml0.5%淀粉溶液,继续滴定至蓝色恰好消失为止。
4.计算

式中 V——滴定氯溴总量时硫代硫酸钠标准溶液用量(ml)
T——1ml硫代硫酸钠标准溶液相当于溴的质量(mg)
W——样品质量(g)
(二)澳碘总量的测定
1.原理 在pH5.5~7.0的样液中,溴、碘化合物被次氯酸钠氧化为澳酸盐和碘酸盐,以甲酸钠除去过量氧化剂,用碘量法测定样品中溴碘总量。
2.适用范围 卤水。
3.测定手续
(1)试样制备 ①吸取200.0ml样品(黄卤)于250ml烧杯中,加1ml 6N硝酸,放置1h,以3N氢氧化钠溶液中和并过量,沉淀铁;转入250ml容量瓶中,加水至刻度,摇匀,使用干漏斗、干滤纸过滤;②量取约100ml样品(黑卤)于200ml烧杯中,加入2~3角匙活性炭搅拌2min后,静止10min,使用干漏斗、千滤纸过滤。
(2)样品测定 吸取15.00~20.00ml样品溶液(黄卤15.00ml,黑卤20.00ml,岩卤100.0ml)于250ml碘量瓶中,加水至25ml,加2滴0.1%甲基红指示液,用0.5N乙酸调节溶液呈红色,加5.00ml 1.8N次氯酸钠溶液,加入1.5N乙酸中和至中性,放置10min,加热至近沸,加5ml20%甲酸钠溶液,剧烈搅拌,煮沸2min,冷却后加水至80ml,加5ml 5%KI溶液,4ml 1∶1磷酸溶液,立即用硫代硫酸钠标准溶液(见表7-1-16)滴定至浅黄色,加2ml0.5%淀粉溶液,继续滴定至蓝色恰好消失为止。同时作空白试验。
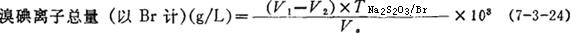
4.计算

式中 V1——滴定样品时硫代硫酸钠标准溶液的用量(ml)
V2——空白试验时硫代硫酸钠标准溶液的用量(ml)
TNa2S2O3/Br——硫代硫酸钠标准溶液对溴的滴定度(g/ml)
Va——被滴定样品溶液相当于原样品量(ml)