网站首页  词典首页


请输入您要查询的字词:

 

字词 烟叶化学成分对烟叶质量的影响
类别 中英文字词句释义及详细解析
释义

烟叶化学成分对烟叶质量的影响


(一)烟叶质量的总概念

烟叶的质量也可以被认为是合意性或可用性。许多主要的物理、化学和感官特性可被用来判定质量。

(1)感官特性。尺寸、均匀性、完整性、异物、残伤、颜色、组织(颗粒性、柔软性)、身份(厚度、密度)、成熟度、香味。

(2)物理特性。填充能力、抗破碎性、平衡水分,燃烧性。

(3)化学特性。烟碱、糖、石油醚提取物、无机组分、水溶性灰分的碱度、总氮、蛋白质氮、a-氨基氮、淀粉、非挥发性酸和总挥发碱。

(二)化学成分与烟叶外观特征的关系

1.颜色与光泽

影响烟叶颜色与光泽的化学成分大体上分为三类:

(1)烟叶生长过程产生的色素,如质体色素中的叶绿素、胡萝卜素和叶黄素等。这些色素在烟叶调制过程中绝大部分被分解。新鲜烟叶中色素的组成及总量随着烟草的品种类型和生长阶段的不同而变化,一般烤烟烟叶种的叶绿素含量约为干物质质量的0.5%~4.0%;胡萝卜素和叶黄素约为成熟烟叶的叶绿素含量的20%~30%;

(2)在烟叶调制过程中形成的多酚类化合物,如芸香苷、绿原酸等在过氧化酶的作用下与蛋白质、氨基酸等反应生成的深色物质,这一过程有时也称作酶参与的棕色化反应。

(3)氨基酸与还原糖经过一系列的降解、氧化和聚合反应形成的非酶参与的棕色化产物。

上述影响烟叶颜色的化学成分在不同的调制条件下,由于温度及水分损失速率等的差异,同时还因为起始的物质含量不同,可以形成多种不同颜色的物质,从而构成烟叶各种深浅不同的色调。

一般说来,烟叶中总氮量、烟碱含量和石油醚提取物含量较高时,烟叶的颜色较深。

2.厚度与组织结构

一般优质的烤烟,往往石油醚提取物和烟碱含量较高,其叶片光泽鲜明,厚度适中,油分充足,颜色橘黄或者略深、且均匀一致,香气质好而量多。作为填充料的烟叶,往往石油醚提取物和含氮化合物的量较低,而碳水化合物含量则较高,颜色较浅,叶片较薄,香气不足。

着生在烟株上部的叶片较厚,腺毛多,因而石油醚提取物量较多,香气较充足,总糖与烟碱的比值低,劲头大,杂气也较重;着生在下部的叶片,组织结构较疏松,油分少,填充性好,还原糖、总糖、烟碱和石油醚提取物含量都比较低,品质较差。

3.油分

烟叶油分与水溶性碳水化合物、树脂和胶质等的含量有关,其含量高时则油分足,含量低则油分差。

(三)烟叶化学成分对烟叶物理性质的影响

(1)烟叶的含糖量和含氯量较高时,则烟丝填充能力较低。

(2)身份较厚重和抗张强度较大的烟叶,其醛酸酐含量很低,而身份明显薄且抗张强度很小的烟叶则往往含有较高的醛酸酐。

(3)总氮含量高且灰分碱度高的烟叶的抗破碎性较差,而还原糖、钾和苹果酸等物质含量与烟叶的抗破碎性呈正相关。

(4)糖含量、纤维素含量较高的烟叶吸湿性较强。

(四)化学成分与烟叶内在质量的关系

1.化学成分与烟气香味

影响烟气香味的物质大致可分为以下五类:

(1)挥发性的醇、醛、酮、低级脂肪酸及其酯类。这类成分大多存在于挥发性的芳香油中,也是一般烟草加香常用的香料,但是低分子的醛如甲醛、乙醛等的刺激性较大,属于不利的因素。香料烟中的带支链的低级脂肪酸及其酯类,对形成香料烟的特征香味起着重要的作用。

(2)类胡萝卜素和非环萜烯的降解产物。烤烟、白肋烟和香料烟经调制、醇化后都存在这类化合物。烟气香味与类胡萝卜素和非环萜烯的降解产物有关。如叶黄素降解产生的羟基-β-紫罗兰酮、猕猴桃内酯、藏花醛和氧化异佛尔酮,新叶黄素降解产生的蚱蜢酮和β-大马酮,以及β-胡萝卜素降解产生的β-紫罗兰酮等,都是重要的烟气香味物质。这些降解物在卷烟燃吸过程中还可进一步变化形成分子质量较小的香味物质。

(3)西柏烷类大环萜烯及其降解物。已知的烟草中的烯柏烷类大环萜烯及其初级降解物至少有60种以上,其中较为熟知的有(α-,β-)3,8,13-西柏三烯-1,5-二醇和(α-,β-)4,8,13-西柏三烯-1,3-二醇等。

(4)赖百当类双萜烯及其降解产物。这类化合物又称岩蔷薇树脂,只存在于香料烟中,对形成香料烟的特征香气有一定的作用,典型代表物是赖百当酸内酯(α-,β-Levantanolide)。

(5)棕色化反应产物。氨基物与羰基物之间的非酶参与的棕色化反应产物,与烟叶的香味和颜色都有一定的关系。

①烟叶中的氨基酸与还原糖直接作用,首先形成阿美杜里化合物(Amadori compound)或海因氏化合物(Hyns compound),进而发生一系列的降解、缩合反应,形成多种有香味的羰基化合物和呋喃、吡喃、吡咯、吡嗪等杂环化合物,这些物质可以改进烟草的香味。

②烟草中的糖除了与氨基酸发生棕化反应外,其本身在卷烟燃烧的高温条件下,发生焦糖化反应,形成一些低分子质量的羰基化合物和呋喃类化合物,较典型的有5-甲基糠醛和5-羟甲基糠醛等,这些物质是构成烤烟特征香的重要成分。

2.化学成分与刺激性

(1)卷烟刺激性主要来自那些呈碱性的化学成分,这些物质大都是烟草中含氮化合物高温分解的产物,其中以氨及其衍生物的影响较大。

(2)烟碱也是能产生刺激性的成分,游离状态的烟碱或是结合态的烟碱都可在燃烧后的烟气中出现,但是游离状态烟碱的刺激性较结合状态的为强。结合态的烟碱可随烟气的碱性影响而转化,从而增加游离态烟碱的比例。因此,烟气碱性愈大,则烟气中游离状态烟碱的比例愈大,刺激性也愈强。

(3)烟草中其他生物碱在烟气中的行为与烟碱相似。

(4)木质素和纤维素燃烧后能产生引起刺呛的气味。

(5)挥发性酸虽然对烟气香味有好的作用,但含量过高时,也可能产生辛辣、灼热感。

3.化学成分与生理强度

生理强度的产生,主要是由于生物碱的作用。烟叶燃烧时,所含的大部分生物碱经热解变化为其他化合物,以原有状态进入烟气的不过是烟叶含量中的一小部分。无嘴卷烟的生物碱传输量约为烟叶中生物碱总量的1/5,滤嘴卷烟为1/8~1/10。烟气中含有一定量的生物碱是完全必要的,否则就失去了烟草的使用价值。但是,烟碱的含量也不能超出吸烟者的需要,否则不但会增加烟气的刺激性,影响吸味,也是影响吸烟安全性的一个不利因素。

4.化学成分与燃烧性

除了上述化学成分与烟草烟气质量的关系外,各种化学成分因烟叶的燃烧性不同,热解产物也有差异。燃烧性不好的烟叶,燃吸时往往会产生令人不愉快的气味。烟叶中的矿物质对燃烧性影响较大,如钾能助燃,而氯则有抑制燃烧的作用。因此,矿物质也是影响烟叶质量的因素之一;纤维素有利于烟叶的燃烧;可溶性糖类、低分子质量的含氮化合物和蛋白质有阻燃作用;硝酸盐具有助燃作用。钾/氯比值是表示烟叶阴燃性简单而又实用可靠的指标,通常要求钾/氯比值大于1。

(五)评价烟叶内在质量的化学指标

1.糖氮比和糖烟碱比

施木克值所表达的烟气的酸碱平衡和谐调关系,也可直接用糖(水溶性糖)氮比值来代替。在烟草中,总氮与烟碱含量之比一般在0.8~1.1的范围内较为合宜。如果总氮/烟碱值增大,则烟叶颜色变淡,烟气的香味逐步减少;总氮/烟碱值过大,接近2∶1时,烟气香味严重不足;低于1∶1时,烟味转浓,刺激性逐步加重。将水溶性糖、氮比值和总氮、烟碱比值结合起来考虑,即为水溶性糖和烟碱之比:

考尔逊(D.A.Coulson)认为水溶性糖和烟碱含量之比接近10∶1的烟叶最好。水溶性糖和烟碱比与糖氮比相似,常被用作内在质量指标之一。见表4-7-12。

表4-7-12 水溶性糖和烟碱之比与感官评吸结果

2.烟碱与总挥发碱的比值

莫斯利(J.M.Moseley)等人根据白肋烟的质量与挥发碱含量的关系,采用烟碱与总挥发碱的氨摩尔质量之比,作为衡量白肋烟质量的指标,比值越大,表示质量越好。这个指标对含糖量较低的晾晒质量的鉴评有一定的参考价值。

3.水溶性糖与挥发碱类的比值

张泳泉和孙瑞申等人根据卷烟烟气酸碱度平衡谐调的原则,提出以下列公式作为评价烤烟质量的化学指标,后简称张孙氏比值:

式中“其他挥发碱”是指氨摩尔质量的总挥发碱与氨摩尔质量的烟碱之差值。

挥发性碱类物质包括烟碱及其同类物和挥发性的氨、胺类等,烟碱在烟草品质中一方面表现为生理强度,另一方面则产生刺激性。在氨摩尔质量的总挥发性碱中,烟碱占大部分,氨和胺类物质虽仅占总挥发碱量的小部分,但它们是形成刺激性的主要成分。烟碱的挥发性与pH有关,氨和胺类化合物直接增加烟气的碱性,因此与烟碱之间也存在相互影响的关系。张孙氏比值较为准确地反映了烟碱对烟叶质量的双重作用,同时又表达了除烟碱外的挥发性碱类的不利因素。

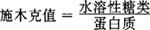
4.施木克值

卷烟烟气的吃味和刺激性与其酸碱成分的平衡谐调有密切关系。烟草中水溶性糖类在燃烧时产生酸性物质,而含氮化合物则产生碱性的烟气。施木克值是水溶性糖类和蛋白质含量之比,用以衡量烟叶的质量:

在一定范围内,晒烟或以晒烟为主的卷烟产品的施木克值越高,则质量越好;施木克值越低,则质量越差。施木克值实质上是一个酸碱性的平衡问题,烟气的酸性过强,同样能产生刺激性;而且含氮物质含量过低,一般香气较少。

简化的施木克值计算方法,是以总氮量×6.25代替蛋白质量,或以(总氮量一烟碱氮量)×6.25代替蛋白质量。用这些计算方法求得的蛋白质量与实际蛋白质含量是有差异的,若作为烟叶质量对比,仍能维持相对的规律性。

由于烟草中影响香吃味的化学成分如此众多,不论用哪一种化学指标,都不可能全面反映或表达烟叶质量,所以各种质量指标在应用上不免存在着一定的片面性和局限性。

(六)烟叶中的农药残留物限量

表4-7-13列出德国、意大利、西班牙和美国对农药在烟草中最大允许限量的规定。

表4-7-13 烟草中常用农药的名称、CA登录号和烟草中最大允许限量

注:1.“r”是指在德国的最大建议残留量。

2.“*”表示该种农药已在美国注册,可用于烟草的苗床、大田或储存和加工过程。

3.“c”是指涕灭威、磺氧基涕灭威和双磺氧基涕灭威的总和。

4.“d”是指艾氏剂和狄氏剂的总和。

5.“e”表示不允许检出。

6.“h”是指DDT、TDE、DDE及其异构体的总和。

7.“i”是指在调制后的烟叶中的残留量规定。

随便看

 

离鸟网收录3541549条中英文词条,其功能与新华字典、现代汉语词典、牛津高阶英汉词典等各类中英文词典类似,基本涵盖了全部常用中英文字词句的读音、释义及用法,是语言学习和写作的有利工具。

 

Copyright © 2004-2024 vtrois.com All Rights Reserved
更新时间:2026/4/8 11:29:59