网站首页  词典首页


请输入您要查询的字词:

 

字词 热封型双轴拉伸聚丙烯薄膜(BOPP膜)的检验
类别 中英文字词句释义及详细解析
释义

热封型双轴拉伸聚丙烯薄膜(BOPP膜)的检验


(一)取样

从卷烟厂或生产企业中随机抽取试样。试样规格100~1000mm。切割一定深度的膜卷,去掉表面三层,取里面约30层卷好,防止试样受污染,不得出现死褶。

(二)试样的标准环境和状态调节时间

1.试样的标准环境

温度:23℃;

相对湿度:50%;

气压:86~106kPa。

相对湿度对试样所测性能的影响可忽略不计时,则状态调节和试验可在23℃、相对湿度45%~75%下进行。

温度、相对湿度对试样所测性能的影响都可忽略不计时,则状态调节和试验可在10~35℃、相对湿度45%~75%下进行。

偏差范围见表8-2-8。

表8-2-8 偏差范围

2.状态调节时间

状态调节时间一般不少于4h。

(三)长度和宽度测定

1.长度测定

(1)仪器:

①锋利的刀或剃须刀片。

②钢卷尺或钢直尺:长度大于被测卷料的宽度。

③平面:长度至少10m,宽度至少与被测卷料宽度相等。沿平面的两条长边,每间隔1m有一刻度,其中至少有一边要分标到0.1m刻度。

④放料装置:塑料薄膜可通过此装置(例如:一辊筒)而无拉伸。装置宽度至少与薄膜的宽度相等,安装于平面前方50cm并约在平面之上30cm处。

(2)方法:

①展开薄膜卷料成叠层,每层长度不超过5m,因而层层相叠不超过20层。测量长度之前,材料之上保持这种叠层状态1h。

②拿起材料层的最上切割端,沿平面拉开,注意确保材料仅施加最小的拉伸。达到这一效果的方法之一,是使薄膜通过安装在测量材料的平面上方约30cm处,在滚珠轴承上自由转动的辊筒。使材料切割端对正平面上的零点刻度,必要时用锋利的刀子或剃须刀片和钢卷尺或钢直尺修齐端部,以便与卷料纵向成直角,这种修边应限制在最小量。在平面的另一端,采用适当方法于材料的两侧都画上标记,使其与已知长度刻度重合。

③沿平面移动被测材料,使画标记处与零点刻度重合,然后重复②步骤,在材料另一端画出标记。

④重复③步骤,直至整卷材料全部通过平面,并被测量。必要时,可采用修齐初始切割端的同样方法修齐最终切割端。

⑤测量长度应精确到0.1m。将所有测得的长度之和作为卷材长度,单位为m,精确度0.1m。

2.宽度测定

(1)仪器:

①平面:宽度至少应与被测材料宽度相等。

②钢直尺:分度为1mm。

(2)方法:

①展开薄膜卷料成叠层,每层长度不超过5m,因而层层相叠不超过20层。测量长度之前,材料之上保持这种叠层状态1h。

②将被测材料置于平面上,并将钢直尺置于材料上,使尺与材料纵向成直角,尺上的零刻度与材料左侧长边成一直线。确定材料右侧长边在尺上的精确位置,精确到1mm,并记录其结果。

③长度在5m以内的材料至少沿试样长度以近似相等的间距测量宽度3次。长度在5m以上的材料至少沿试样长度以近似相等的间距测量宽度10次。

④记录每次所测宽度,报告算术平均值,并以此作为平均卷料或试样宽度。

(四)厚度测定

1.试样的采取

沿试样的纵向,距离端部大约1m的位置,横向截取试样。样条宽度约为100mm,样条应无折痕或其他缺陷。

2.仪器

(1)测量仪器可以测量到以下精度:

100μm以内,精度为1μm。

100~250μm,精度为2μm。

250μm以上,精度为3μm。

测量数值可用不同方法,例如:机械法(千分表)、光学法(光显示器)或电子法(电感式)显示。

(2)测量仪器的下测量面应光滑平整,上测量面可以是平面或曲面,上下表面都应抛光。

①上下两侧面为平面时,测量仪器的测量面直径应为2.5~10mm,两平面的平行度应低于5μm。下测量面应能调节,以满足上述要求。测头对试样施加的负荷应为0.5~1.0N。

②上测量面为曲面时,测量仪器的下测量面直径应不小于5mm,上测量面的曲率半径应为15~50mm。测头对试样施加的负荷应为0.1~0.5N。

3.方法

①试样状态调节:试样在温度23℃±2℃,相对湿度45%~55%下至少放置1h。

②样条和测量仪器的测头表面应无灰尘、油污等。

③在测量之前检查测量仪器的零点,并在每组测量之后重新检查。

④测量厚度时,要轻轻地放下测头。

⑤样条厚度的测量:在23℃±2℃下,沿试样横向进行测量。膜宽大于2000mm时,每200mm测量一点;膜宽在300~2000mm时,以大约相等间隔测量10点;膜宽在100~300mm时每50mm测量一点;膜宽小于100mm时,至少测量3点。对于未裁毛边的试样,应在离边缘50mm以外的地方进行测量。

4.计算

试验结果以试样的平均厚度和厚度的最大值、最小值表示,计算结果准确到1μm。

(五)拉伸强度和断裂长测定

1.原理

对试样施加静态拉伸负荷,以测定拉伸强度、断裂伸长及弹性模量。

2.试样的采取和处理

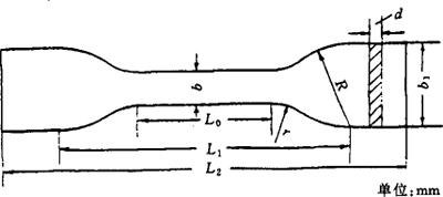
本方法规定使用四种类型的试样,Ⅰ、Ⅱ、Ⅲ型为哑铃型试样。见图8-2-11~图8-2-13。Ⅳ型为长条形试样,宽度10~25mm,总长度不小于150mm,标距至少为50mm。

图8-2-11 Ⅰ型试样

L2-总长120 L1-夹具间初始距离86±5 L0-标线间距离40±0.5 d-厚度 R-大半径25±2 r-小半径14±1 b-平行部分宽度10±0.5 b1-端部宽度25±0.5

图8-2-12 Ⅱ型试样

L3-总长115 L2-夹具间初始距离80±5 L1-平行部分长度33±2 L0-标线间距离25±0.25 R-大半径25±2 r-小半径14±1 b-平行部分宽度6±0.4 b1-端部宽度25±1 d-厚度

图8-2-13 Ⅲ型试样

L3-总长150 L2-夹具间初始距离115±5 L1-平行部分长度60±0.5 L0-标线间距离50±0.55 R-半径60 b-平行部分宽度10±0.5 b1-端部宽度20±0.5 d-厚度

试样的选择:可根据不同产品或按已有的产品标准的规定进行选择。一般情况下,伸长率较大的试样不宜采用太宽的试样。

试样应沿试样宽度方向大约等间隔裁取。

试样边缘应平滑无缺口。可用低倍放大镜检查缺口,舍去边缘有缺陷的试样。

按试样尺寸要求准确打印或画出标线。此标线应对试样不产生任何影响。

每组试样不少于5个。

将试样放置于温度25℃±2℃,相对湿度65%土5%的环境中,使其表面尽可能暴露在环境里,试样的处理时间不少于4h。

3.试验条件(空载)

(1)试验速度如下:

a、1mm/min±0.5mm/min;

b、2mm/min±0.5mm/min或2.5mm/min±0.5mm/min;

c、5mm/min±1mm/min;

d、10mm/min±2mm/min;

e、30mm/min±3mm/min;

f、50mm/min±5mm/min;

g、100mm/min±10mm/min;

h、200mm/min±20mm/min;

i、500mm/min±50mm/min。

(2)速度选择:应按被测材料有关规定要求的速度进行选择。

测定拉伸弹性模量时,应选择速度a或b。

4.仪器

任何可做拉伸试验并能满足下列要求的试验机均可使用:

(1)试验机应备有适当的夹具,改夹具不应引起试样在夹具处断裂,施加任何负荷时,试验机上的夹具应能立即对准成一条线,以使试样的长轴与通过夹具中心线的拉伸方向重合。

(2)试验夹具移动速度应满足规定要求。

(3)试验机示值在记录仪满值(或每级表盘满刻度)的10%~90%间,示值误差应在±1%之内。

5.方法

(1)测量薄膜厚度准确至0.001mm。用精度为0.1mm以上的量具测量试样宽度。每个试样的厚度和宽度应在标距内测量三点,取算术平均值。宽度准确至0.1mm。哑铃型试样中间平行部分可以用冲刀的相应部分的平均宽度。

(2)将试样置于试验机的两夹具中,使试样纵轴与上、下夹具中心连线相重合。并且要松紧适宜,以防止试样滑脱和断在夹具内。夹具内应衬垫橡胶之类的弹性材料。

(3)如用伸长仪,在施加应力前,应调整伸长仪的两侧测量点与试样的标距相吻合。伸长仪不应使试样承受负荷。

(4)按规定速度,开动试验机进行试验。

(5)试样断裂后,读取所需负荷及相应的标距间伸长值。若试样断裂在标距之外的部位时,此试样作废,另取试样补做。

6.计算

拉伸强度、拉伸断裂应力、拉伸屈服应力,以σt(MPa)表示,按下式计算:

式中 F——最大载荷、断裂负荷、屈服负荷,N;

b——试样宽度,mm;

d——试样厚度,mm。

断裂伸长率或屈服伸长率εt(%),按下式计算:

式中 L0——试样原始标线距离,mm;

L——试样断裂时或屈服时标线间距离,mm。

做应力-应变曲线,从曲线的初始直线部分计算拉伸弹性模量,以Et(MPa)表示,按下式计算:

强度、应力和弹性模量取三位有效数字,伸长率取二位有效数字。以每组试样试验结果的算术平均值表示。

(六)热收缩率测定

1.试样的采取

在膜卷宽度方向均匀截取120mm×120mm试样5片。从试样纵、横向的中间离边缘10mm处标上记号,并准确测量标记间长度。

2.仪器

(1)鼓风式干燥箱。

(2)不锈钢板。

(3)秒表。

(4)钢板尺:精度0.5mm。

3.方法

将试样平置于120℃±3℃的鼓风式干燥箱中的不锈钢板上,不锈钢板位于烘箱中部。试验时不鼓风,加热2min后取出,冷却到试验环境温度,测量纵、横向标记长度,计算热收缩率。

4.计算

试验的热收缩率按下式计算:

式中 T——试验热收缩率,%;

L——加热前标记间长度,mm;

L0——加热后标记间长度,mm。

取5个试验算术平均值。

(七)雾度测定

1.原理

利用透过试样而偏离入射光方向的散射光通量与透射光通量之比来表示雾度,用%来表示。本方法仅把偏离入射光方向2.5°以上的散射光通量用于计算雾度。

2.试样的采取

试样尺寸:50mm×50mm。

试样应均匀,不应有气泡,两测量表面应平整光滑且平行,无划伤,无异物和油污等。

每组试样不少于3个。

3.仪器

积分球式雾度计。其原理见图8-2-14所示,并满足下列各项要求:

图8-2-14 积分球式雾度计原理图

1-陷阱 2-标准板 3-积分球 4-试样架 5-光电池 6-控制线路 7-检流计 8-光源 9-稳压器 L1,L2,L3-透镜 S-光孔 C-F-滤光镜

(1)积分球:用于收集透过的光通量。只要出入窗口的总面积不超过积分球内反射表面积的4%,任何直径的球均可适用。

(2)出口窗和入口窗的中心在球的同一最大圆周上,两者的中心与球的中心构成的角度在170°以上,光电池置于与入口窗中心和球成90°±10°的球面上。出口窗的直径与入口窗的中心构成角度在8°以内。

(3)反射面:积分球内表面、挡板和反射标准板,应该具有基本相同的反射率。在整个可见光波长区具有高反射率和无光泽。

(4)聚光透镜:照射在试样上的光束,应基本上是单向平行光线,不能偏离光轴3°以上。光束的中心和出口窗的中心是一致的,这个光束在出入窗口不应引起光晕。

在出口窗处光束的截面近似圆形,边界分明,对应入口中心构成角度与出口窗对入口窗中心构成1.3°±0.1°的环带。

(5)陷阱:无试样和标准板的时候,能够全部吸收光。

(6)光电池:球内光的强度用光电池测定。其输出在使用光强范围内和入射光强度成比例,并具有1%以内的精度。当积分球在暗色时检流计无偏转。

(7)检流计:刻度为100等分。

(8)光源:标准C光源。

游标卡尺:精确度0.05mm。

测厚仪或千分表:精确度0.001mm。

4.方法

(1)接通电源,使仪器稳定10min以上。

(2)测量试样的厚度,精确到0.001mm。

(3)调节零点旋钮,使积分球在暗色时检流计的指示为零。

(4)当光线无阻挡时,调节仪器使检流计的指示为100,然后按表8-2-9操作,读取检流计的指示刻度。

表8-2—9 检流计的指示刻度

5.计算

根据下式计算每个试样的透光率Tt和雾度值H:

试验结果以一组试样的算术平均值表示,精确到小数点后一位。

标准偏差值S按下式计算:

式中 X--单个测量值;

X——一组测定值的算术平均值;

n——测定值的个数。

(八)动摩擦因数测定

1.原理

两试验表面平放在一起,在一定的接触压力下,使两表面相对移动,记录所需的力。

2.试样的采取和处理

每次测量一般需要两个80mm×200mm的试样。

如试样的正反面或不同方向的摩擦性质不同,应分别进行试验。通常,试样的长度方向(即试验方向)应平行于试样的纵向(机械加工方向)。

试样应平整、无皱纹和可能改变摩擦性质的伤痕。试样边缘应圆滑。

试样试验表面应无灰尘、指纹和任何可能改变表面性质的外来物质。

每次试验至少测量三对试样。

3.仪器

试验装置由水平试验台、滑块、测力系统和使水平试验台上两试验表面相对移动的驱动机构等组成。见图8-2-15所示。

图8-2-15

1-测力系统的负荷传感器 2-调节弹性系数的弹簧 3-水平试验台 4-滑块 5-水平试验台上的试样

(1)水平试验台:水平试验台的表面应平滑,由非磁性材料制成。

(2)滑块:滑块应具有4000mm2面积的正方形底面(边长630mm)。

滑块的底面应覆盖弹性材料(如毡、泡沫橡胶等),弹性材料不得使试样产生压纹。

包括试样在内的滑块总质量应为200g±2g,以保证法向力为1.96N±0.02N。

(3)驱动机构:驱动机构应无振动,使两试验表面以100mm/min±10mm/min的速度相对移动。

(4)测力系统:整个测力系统的总误差应小于±2%,其变换时间T99%应不超过0.5s。牵引方向应与摩擦滑动方向平行。

(5)调节弹性系数的弹簧:在滑粘情况下测量动摩擦力时,则应取消这个弹簧,直接连接滑块和负荷传感器。

4.惯性的影响

由于滑块质量的惯性,在滑块相对移动开始时有一个附加力,测得的摩擦因数比真实值大△μ。

式中 V——滑块的相对速度,mm/s;

m——滑块总质量,g;

g——重力加速度,mm/s2

D——测力系统的弹性系数,g/s2

5.方法

(1)将一个试样的试验表面向上,平整地固定在水平试验台上。试样与试验台的长度方向应平行。

(2)将另一试样的试验表面向下,包住滑块,用胶带在滑块前沿和上表面固定试样。

(3)将固定有试样的滑块无冲击地放在第一个试样中央,并使两试样的试验方向与滑动方向平行且测力系统恰好不受力。

(4)两试样接触后保持15s。启动仪器使两试样相对移动。

(5)力的第一个峰值为静摩擦力Fs

(6)两试样相对移动6cm内的力的平均值(不包括静摩擦力)为动摩擦力Fd

(7)如在静摩擦力之后出现力值振荡,则不能测量动摩擦力。此时应取消滑块和负荷传感器间的弹簧,单独测量动摩擦力。由于惯性误差,这种测量不适用于静摩擦力。

6.计算

静摩擦因数和动摩擦因数分别按下式计算:

式中 μs——静摩擦因数;

μd——动摩擦因数;

Fs——静摩擦力,N;

Fd——动摩擦力,N;

Fp——法向力,N。

(九)湿润张力测定

1.原理

用表8-2-10系列标准溶液,按顺序涂布在试样的表面,当选择的标准溶液正好使薄膜湿润时、该标准溶液的表面张力即为试样的湿润张力。

表8-2-10 标准溶液的表面张力

2.试验用具及标准溶液的配制和标定

(1)试验笔或脱脂棉棒,甲酰胺,乙二醇乙醚、维多利兰等染料。

(2)标准溶液的配制和标定

按照表8-2-10所示比例,制作甲酰胺和乙二醇乙醚系列混合液,作为测试液使用,往测试液内加入微量着色剂,应用表面张力仪进行标定。测试液的组成体积百分数和表面张力见表8-2-10。

3.试验方法

试样表面必须洁净无污,无指印或其他外来物质。

(1)标准液的涂布方法:在试样的横向选择适当的间隙进行试验,用试验笔或棉棒浸入。

(2)指定的标准溶液内,浸透棉棒,顺一方向在试样上水平移动涂布。所涂布的液体膜层面积约为600mm2,涂布操作在0.5s内完成,如使用棉棒,每支只能使用一次,以免标准液受污染。

(3)湿润张力的判断:根据涂布试剂2s以后液体膜层的状态判断湿润张力,如果液体膜层没有出现破处,2s后仍保持涂布后的状态,说明已湿润了。再接表面张力较高的标准液,如果相反,再接着涂布表面张力较低的液体,直至选到能够在2s正好湿润试样表面的标准液为止,所选用的标准液表面张力(mN/m)的数值就是该试样的表面张力。

(十)热合强度测定

1.原理

以规定宽度的热合试样在断裂时的最大载荷表示热合强度。

2.试样的采取和处理

采取宽15mm±0.1mm,展开长度为100mm±1mm的试样。当不能采取到展开长度为100mm±1mm的试样时,可按图8-2-16所示,用玻璃纸粘结与袋相同材料,使试样展开长度为100mm±1mm。

图8-2-16 形状与尺寸

试样应在温度为23℃±2℃,常湿状态的环境中至少做4h状态调节。

3.仪器

(1)试验机:试验机应满足下列要求:

实测示值应在表盘满刻度的10%~90%之间,读数示值误差应在±1%以内。

(2)游标卡尺:精确度为0.02mm。

(3)直尺:精确度为1mm。

4.方法

将经过状态调节的试样,以热合部位为中心线,展开呈180°,把试样的两端分别夹在试验机的两个夹具上,应使试样纵轴与上、下夹具中心连线相重合。并且要松紧适宜,以防止试样滑脱和断在夹具内。夹具间距离为50mm,试验速度为300mm/min±20mm/min,读取试样断裂时的最大载荷。

若试样断裂在夹具内,则此试样作废,另取试样补做。

5.计算

试验结果以10条试样的算术平均值作为该部位的热合强度,以N/15mm表示,取3位有效数字。

(十一)透湿量测定

1.原理

在规定的温度、相对湿度条件下,试样两侧保持一定的水蒸气压差,测量透过试样的水蒸气量,计算水蒸气透过量和水蒸气透过系数。

2.试样的采取和处理

(1)试样应平整、均匀。不得有孔洞、针眼、皱褶、划伤等缺陷。每一组至少取3个试样。都对两个表面材质不相同的试样,在正反面各取一组试样。

(2)对于低透湿量或精确度要求较高的试样,应取一个或两个试样进行空白试验。

(3)试样用标准的圆片冲刀冲切。试样直径应为杯环内径加凹槽宽度。

(4)试验条件:条件A:温度38℃±0.6℃,相对湿度90%±2%;条件B:23℃±0.6℃,相对湿度90%±2%。

3.仪器

(1)恒温恒湿箱:恒温恒湿箱温度精度为0.6℃;相对湿度精度为±2%;风速为0.5~2.5m/s。恒温恒湿箱关闭门之后,15min内重新达到规定的温度、湿度。

(2)透湿杯及定位装置:透湿杯由质轻、耐腐蚀、不透水、不透气的材料制成。有效测定面积至少为25cm2。见图8-2-17。

图8-2-17 透湿杯组装图

1-压盖 2-试样 3-杯环 4-密封蜡 5-杯 6-杯皿 7-导正环 8-干燥剂 9-杯台

(3)分析天平:感量为0.1mg。

(4)干燥器。

(5)量具:测量薄膜厚度精度为0.001mm。

(6)密封蜡:密封蜡应在温度38℃、相对湿度90%条件下暴露不会软化变形。若暴露表面积为50cm2,则在24h内质量变化不能超过1mg。

密封蜡配方如下:

a:85%石蜡(熔点为50~52℃)和15%蜂蜡组成;

b:80%石蜡(熔点为50~52℃)和20%粘稠聚异丁烯(低聚合度)组成。

(7)干燥剂:无水氯化钙粒度为0.60~2.36mm。使用前应在200℃±2℃烘箱中干燥2h。

4.方法

(1)将干燥剂放入清洁的杯皿中,其加入量应使干燥剂距试样表面约3mm为宜。

(2)将盛有干燥剂的杯皿放入杯子中,然后将杯子放到杯台上,试样放在杯子正中,加上杯环后,用导正环固定好试样的位置,再加上压盖。

(3)小心地取下导正环,将熔融的密封蜡浇灌在杯子的凹槽中。密封蜡凝固后不允许产生裂纹及气泡。

(4)待密封蜡凝固后,取下压盖和杯台,并清除粘在透湿杯边及底部的密封蜡。

(5)称量封好的透湿杯。

(6)将透湿杯放入已调好温度、湿度的恒温恒湿箱中,16h后从箱中取出,放入处于23℃±2℃环境下的干燥器中,平衡30min后进行称量。

(7)称量后将透湿杯重新放入恒温恒湿箱内,以后每两次称量的间隔时间为24h、48h或96h。

(8)重复(7)步骤,直到前后两次质量增加相差不大于5%时,方可结束试验。

5.计算

水蒸气透过量q按下式计算:

式中 q——水蒸气透过量,g/(m2·24h);

t——质量增量稳定后的两次间隔时间,h;

A——试样透水蒸气的面积,m2

△m——t时间内的质量增量,g。

试验结果以每组试样的算术平均值表示,取三位有效数字。每一个试样测试值与算术平均值的偏差不超过10%。

水蒸气透过系数Pv按下式计算:

式中 Pv——水蒸气透过系数,g·cm/(cm2·s·Pa);

d——试样厚度,cm;

△p——试验两侧的蒸汽压差,Pa。

试验结果以每组试样的算术平均值表示,取两位有效数字。

随便看

 

离鸟网收录3541549条中英文词条,其功能与新华字典、现代汉语词典、牛津高阶英汉词典等各类中英文词典类似,基本涵盖了全部常用中英文字词句的读音、释义及用法,是语言学习和写作的有利工具。

 

Copyright © 2004-2024 vtrois.com All Rights Reserved
更新时间:2026/4/8 3:41:54