网站首页  词典首页


请输入您要查询的字词:

 

字词 热辐射的基本理论
类别 中英文字词句释义及详细解析
释义

热辐射的基本理论


辐射能是以电磁波的形式进行输送的能量。电磁现象包括多种类型的辐射,从波长较短的γ射线和X射线到波长较长的无线电波。产生辐射的方式有多种,我们仅把由于介质的温度而引起的介质发射的辐射能定义为热辐射或温度辐射。

1.基尔霍夫定律

基尔霍夫(Kirchhoff)于1860年证明,物体的光谱辐射出度Mλ(T)与光谱吸收比αλ(T)的比值是一个普适函数,即这一函数值只与波长和温度有关,而与物体的性质无关。该定律说明了物体的辐射本领和吸收本领之间的关系。材料的吸收本领大,则发射本领也大,用公式表示为:

它是描述物体单色辐射出度M(λ,T)与单色吸收本领α(λ,T)之间定量关系的公式,是描述物体表面辐射特性最重要的定律。

2.普朗克定律

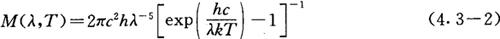
普朗克定律是描述黑体辐射特性的基本定律。能够在任何温度下全部吸收任何波长的入射辐射的物体称为黑体。也就是任何波长下的单色吸收本领都为1的理想物体称为黑体。

处于平衡态的理想黑体,在热力学温度T时,其辐射出度可用下式表示:

式中:M(λ,T)为辐射出度;c为真空中光速;k为玻耳兹曼常数;h为普朗克常数;λ为在真空中的波长。如果用第一、第二辐常数用c1、c2表示,则普朗克公式为:

其中第一辐射常数c1为:

c1=2πhc2=3.74183×10-16Wm2

第一辐射常数c2为:

c2=hc/k=1.4388×10-2mK

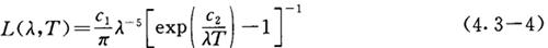
黑体的辐射出度是辐射亮度的π倍,因此,表示黑体辐射亮度的公式为:

以上可以看出,普朗克公式建立了黑体光谱辐射出度(或光谱辐射亮度)与热力学温度T和波长λ的严格函数关系。它是复现1990年国际温标961.78℃以上温区的指定公式。

,即的情况下,普朗克公式可用运算方便的维恩公式来代替,即:

当T<3000K和λ<1.0μm时,满足c2/λT>>1的条件,这时完全可采用维恩公式代替普朗克公式。在一般性的高温计计算和误差分析中多采用维恩公式。

在高温或低频(长波)的情况下,如果,则可用瑞利-金斯公式表示,表达式为:

L(λ,T)=2ckTλ-4 (4.3-6)

图4.3-1为普朗克公式与维恩公式及瑞利-金斯定律所描述曲线的比较。

图4.3-1 普朗克、维恩及瑞利-金斯曲线

3.斯忒藩-玻尔兹曼定律

斯忒藩-玻尔兹曼定律描述了黑体在全波长范围内(λ=0~∞)辐射出度与温度T的函数关系:

积分后可得黑体的全辐射出度:

M(T)=σT4 (4.3-8)

式中:σ为斯忒藩-玻尔兹曼常数,而

σ=2π5k4/15h3c2=(5.6696±0.00005)×10-8Wm-2K-4

斯忒藩-玻尔兹曼公式表示的总的辐射出度与其热力学温度T的四次方成正比。该公式在热力学温度测定和全辐射温度计中得到广泛的应用。

【参考文献】:

[1]师克宽等,过程参数检测,中国计量出版社,1990。

[2]王江,现代计量测试技术,中国计量出版社,1990。

[3]鲁绍曾,现代计量学概论,中国计量出版社,1987。

[4]赵琪 原遵东等,用于ITS-90的直流光电温度比较仪,计量学报(1990),Vo1,11,No.4,P.241。

[5]H.Preston-Thomas,The International Temperature Scale of 1990,CCT BIPM,1990

[6]蒋思敬、姚土春编,压力研究。

[7]M·K,若霍夫斯基着,李燕、黄国政等译,压力和疏空计量技术。

[8]Supplementary Information for the International Temperature Scale of 1990,CCTBIPM,1990。

[9]Techniques for Approximating The International Temperature Scale of 1990,CCT BIPM,1990。

[10]王魁汉,温度测量技术,东北工学院出版社,1991。

[11]沈正宇、王凤诚,从计量保证方案(MAP)谈一等标准水银温度计的检定质量,第二届全国温度测量与控制学术会议论文集,P340-345,1990。

[12]压力计量名词术语及定义,JJG,1008-87。

[13]知久明、金田良作等合编,房景富、韩慧文、袁先富译,压力测试仪器的管理。

[14]许第昌编,压力计量测试。

[15]蔡武昌等编,流量测理方法和仪表选用指南。

[16]川田裕郎等编着,流量测量手册。

[17]苏彦勋、盛健、梁国伟编着,流量计量与测试。

随便看

 

离鸟网收录3541549条中英文词条,其功能与新华字典、现代汉语词典、牛津高阶英汉词典等各类中英文词典类似,基本涵盖了全部常用中英文字词句的读音、释义及用法,是语言学习和写作的有利工具。

 

Copyright © 2004-2024 vtrois.com All Rights Reserved
更新时间:2026/4/7 15:47:54