网站首页  词典首页


请输入您要查询的字词:

 

字词 焊接冷裂纹敏感性系数
类别 中英文字词句释义及详细解析
释义

焊接冷裂纹敏感性系数


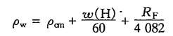
单纯以碳当量估价冷裂倾向是比较片面的,扩散氢、拘束度和热循环等对冷裂倾向都有很大影响,因而日本的伊藤等人提出了下列的数值方程公式:

式中 ω(H)——焊缝中的扩散氢含量,mL/100g;

ρw——考虑到拘束度的焊接裂纹敏感指数,%;

ρc——焊接裂纹敏感指数,%;

RF——焊缝拉伸拘束度,N/(mm.mm);

h——板厚,mm;

ρcm——冷裂纹敏感指数,%.

此式适用于具有下列化学成分(质量分数)范围的钢:ω(C):0.07%~0.22%;ω(Si):0~0.60%;ω(Mn):0.4%~1.4%;ω(Cu):0~0.50%;ω(Ni):0~1.20%;ω(Cr):0~1.20%;ω(Mo):0~0.57%;ω(V):0~0.12%;ω(B):0~0.005%.

此外,扩散氢含量ω(H)为1.0~5.0mL/100g;板厚h为19~50mm;焊接线能量为17~30kJ/cm.

按ρc可以求出需要的预热温度T0

T0=1440ρc-392

这里的T0是以斜Y形坡口对接裂纹试验结果为依据而求得的,在采用不同接头形式时只能适当参考,不能直接套用.

随便看

 

离鸟网收录3541549条中英文词条,其功能与新华字典、现代汉语词典、牛津高阶英汉词典等各类中英文词典类似,基本涵盖了全部常用中英文字词句的读音、释义及用法,是语言学习和写作的有利工具。

 

Copyright © 2004-2024 vtrois.com All Rights Reserved
更新时间:2026/4/8 10:33:53