网站首页  词典首页


请输入您要查询的字词:

 

字词 焊接性试验方法
类别 中英文字词句释义及详细解析
释义

焊接性试验方法


焊接性试验方法种类较多,常用的有斜Y形坡口焊接裂纹试验(即小铁研式抗裂试验)、插销试验、刚性固定对接裂纹试验和可变拘束裂纹试验等.

10.1.3.1 斜Y形坡口焊接裂纹试验方法

标准GB4675.1—84适用于碳素钢和低合金钢焊接接头的斜Y形坡口焊接裂纹试验.

1.试样制备

试样的形状和尺寸如图10-1所示.

2.试验条件

图10-1 试件形状和尺寸

试验所用的焊条原则上采用GB5117—85《碳钢焊条》和GB5118—85《低合金钢焊条》所列的、与试验钢材相匹配的焊条.焊前焊条要严格进行烘干.拘束焊缝采用双面焊接,注意不要产生角变形和未焊透.

通常以标准焊接规范(焊条直径4mm;焊接电流170A;焊接速度150mm/min;电弧电压24V)在三个试件上重复试验.

3.试验步骤

按图10-1组装试件.试样两端各60mm范围内先用焊缝固定,试板中间预留间隙2~3mm.中间80mm段为试验焊缝的位置.试验焊缝引弧、熄弧都应离开拘束焊缝2~3mm,收弧时应填满弧坑.

图10-2 采用手工焊时试验焊缝位置

当采用手工焊时,试验焊缝按图10-2所示方法焊接.当采用焊条自动送进装置焊接时,按图10-3所示方法焊接.焊完的试件经48h以后,才能开始进行裂纹的检测.

图10-3 采用焊条自动送进装置焊接时试验焊缝位置

4.计算方法

首先用放大镜目测或用磁性荧光粉检查焊接接头的表面和断面是否有裂纹,并分别计算出表面裂纹率、根部裂纹率和断面裂纹率.

裂纹的长度或高度按图10-4所示方法进行检测.裂纹长度为曲线形状,见图10-4(a),按直线长度检测.裂纹重叠时不必分别计算.

图10-4 试样裂纹长度的计算

(a)表面裂纹;(b)根部裂纹;(c)断面裂纹

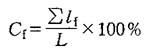
采用下列公式计算表面裂纹率:

式中 Cf——表面裂纹率,%;

∑lf——表面裂纹长度之和,mm;

L——试验焊缝长度,mm.

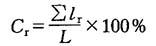
将试件采用适当的方法着色后拉断或弯断,然后按图10-4(b)检测根部裂纹,并按下列公式计算根部裂纹率:

式中 Cr——根部裂纹率,%;

∑lr——根部裂纹长度之和,mm;

L——试验焊缝长度,mm.

对试件的5个横断面进行断面裂纹检查,按图10-4(c)的要求测出裂纹的高度,用下式对这5个横断面分别计算其裂纹率,然后求出其平均值:

式中 Cs——断面裂纹率,%;

H——试样焊缝的最小厚度,mm;

Hc——断面裂纹的高度,mm.

5个横断面的位置是:按试验焊缝宽度开始均匀处与焊缝弧坑中心之间的距离四等分而确定.

10.1.3.2 插销试验

标准GB9446—88规定了用环形或螺形缺口试样进行的插销冷裂纹试验方法,适用于钢材焊接冷裂敏感性的评定.在焊接方法、钢材和应力给定的条件下,也适用于对比焊接材料特性.

1.试件制备

插销试验方法的原理及装置简图见图10-5,其中图(a)为插销试棒与基体板及焊道的相对位置关系,图(b)为试验机的装置示意图.插销试样的形状、尺寸实例如图10-6所示.由于试验的材料、目的不同,试样的形状、尺寸有时加以变化.

图10-5 插销试验

1—试板;2—支点;3—加压;4—油缸;5—插销试样;6—加载夹头;7—加载棒;8—应变片;9—载荷;10—支柱;11—导线

图10-6 插销试样形状、尺寸实例

2.试验方法

插销试验采用圆柱形试样.试样由被试钢材加工而成,插入底板的孔中,并使带缺口一端的端面与底板表面平齐.底板上熔敷一焊道,尽量使焊道中心线通过插销端面中心.该焊道的熔深应保证缺口位于热影响区的粗晶区中,即最易产生冷裂纹的薄弱位置.焊后,当缺口附近金属冷却至150℃时,对插销试样施加一定的轴向拉伸载荷,并保持这一载荷直到试样断裂.从加载到断裂要延续一定的时间.载荷所造成的应力越大,延续的时间越短;应力越校延续的时间越长.当插销所承受的应力小到一定程度时,无论载荷持续多久,试样不再断裂,此时的应力称为临界应力.临界应力的大小可以作为材料冷裂倾向的比较参量,临界应力小的材料冷裂倾向大.

10.1.3.3 压板对接(FISCO)焊接裂纹试验方法

1.试验方法

图10-7 FISCO试验

FISCO试验,见图10-7,采用强力螺栓紧固试板(厚度1~40mm),接头处每间隔5mm焊一短段焊道(40mm或50mm),待冷至室温后拆下试板检查表面裂纹.

图10-8 裂纹长度的计算

2.计算方法

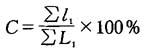
按图10-8对焊缝断面上所测得的裂纹长度用下列公式计算裂纹率:

式中 C——裂纹率,%;

∑li——试验焊缝的裂纹长度之和,mm;

∑L1——试验焊缝的长度之和,mm.

随便看

 

离鸟网收录3541549条中英文词条,其功能与新华字典、现代汉语词典、牛津高阶英汉词典等各类中英文词典类似,基本涵盖了全部常用中英文字词句的读音、释义及用法,是语言学习和写作的有利工具。

 

Copyright © 2004-2024 vtrois.com All Rights Reserved
更新时间:2026/4/8 13:02:19