网站首页  词典首页


请输入您要查询的字词:

 

字词 焊接接头弯曲及压扁试验方法
类别 中英文字词句释义及详细解析
释义

焊接接头弯曲及压扁试验方法


焊接接头弯曲及压扁试验按GB/T 2653-1989《焊接接头弯曲及压扁试验方法》规定。

1.试样及其制备

熔焊的横弯、侧弯或纵弯的形状应分别符合图6.3-9、6.3-10、6.3-11所示的规定。横弯和纵弯试样又分为正弯和背弯。

图6.3-9 横弯试样

图6.3-10 侧弯试样

a-试样厚度;b-试样宽度,L-试样长度;r-圆角半径

图6.3-11 纵弯试样

a-试样厚度;b-试样宽度;L-试样长度;r-圆角半径

①横弯试样的尺寸。对于板材试件,试样的宽度b应不小于厚度a的1.5倍,至少为20mm。对于管材试件,试样的宽度b应为:管直径≤50mm时,b为S+0.1D(最小为10mm);管直径>50mm时,b为S+0.05D(最小为10mm,最大为40mm)。S为管壁厚度,D为管子外径。

通常试样厚度a应为焊接接头试件厚度。如果试件厚度超过20mm,则可从接头不同厚度区取若干试样以取代接头全厚度的单个试样,但每个试样的厚度应不小于20mm,且所取试样应覆盖接头的整个厚度。在这种情况下,应当标明试样在焊接接头厚度中的位置。

②侧弯试样的尺寸。试样厚度a应大于或等于10mm,宽度b应等于靠近焊接接头的母材厚度。当原接头试件的厚度超过40mm时,则可从接头不同厚度区取若干试样以取代接头全厚度的单个试样,但每个试样的宽度b在20~40mm范围内,这些试样应覆盖接头的全部厚度。在这种情况下,同样应当标明试样在焊接接头厚度中的位置。

③纵弯试样的尺寸。试样尺寸如表6.3-7和如图6.3-11所示。如果接头厚度超过20mm时或试验机功率不够时,可在试样受压面一侧加工至20mm。

表6.3-7 纵弯试样的尺寸

试样拉伸面上的棱角应当用机械方法加工成半径不超过0.2a的圆角(最大值为3mm),其侧面加工粗糙度应小于Ra12.5μm。

2.圆形压头弯曲(三点弯曲)试验法

进行此试验时,将试样放在两个平行的辊子支承上,在跨距中间,垂直于试样表面施加集中载荷(三点弯曲),使试样缓慢连续地弯曲,如图6.3-12所示。压头的直径D应符合有关标准和技术条件要求。支承辊之间的距离L不应大于D十3a。当弯曲角α达到使用标准中规定的数值时,试验便告完成。试验后检查试样拉伸面上出现的裂纹或焊接缺陷的尺寸及位置。试验所涉及的试验仪器、试样尺寸测定、试验条件等均应符合GB 232的规定。

图6.3-12 圆形压头弯曲试验

3.辊筒弯曲(缠绕式导向弯曲)试验法

进行此试验时,将试样的一端牢固地夹紧在具有两个平行辊筒的试验装置内,通过半径为R的外辊,沿以内辊轴线为中心的圆弧转动,向试样施加集中载荷,使试样缓慢连续弯曲,如图6.3-13所示。内辊直径D应符合有关标准和技术条件的要求。当弯曲角α达到使用标准中规定的数值时,试验便告完成。试验后,检查试样拉伸面出现的裂纹或焊接缺陷的尺寸及位置。试验所涉及的试样尺寸测定、试验条件等均应符合GB 232的规定。该试验方法尤其适用于当两种母材或焊缝与母材之间的物理弯曲性能显着不同的材料组成的横向弯曲试验。当试件厚度超过10mm时,建议用侧弯试验代替正弯和背弯试验。

图6.3-13 辊筒弯曲试验

4.压扁试验

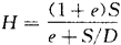
环焊缝和纵焊缝的小直径管接头,其压扁试样的形状和尺寸应符合图6.3-14、6.3-15所示的规定。管接头的焊缝余高用机械方法去除,使与母材原始表面齐平。环焊缝管接头压扁试验如图6.3-16所示,环焊缝应位于加压中心线上。纵焊缝压扁试验如图6.3-17所示,纵焊缝应位于与作用力相垂直的半径平面内,两压板间距H值按下式计算:

图6.3-14 环缝压扁试样尺寸

图6.3-15 纵缝压扁试样尺寸

图6.3-16 环缝压扁试验示意图

图6.3-17 纵缝压扁试验示意图

式中 S——管壁厚(mm);

D——管外径(mm);

E——单位伸长的变形系数,由产品规范规定。

随便看

 

离鸟网收录3541549条中英文词条,其功能与新华字典、现代汉语词典、牛津高阶英汉词典等各类中英文词典类似,基本涵盖了全部常用中英文字词句的读音、释义及用法,是语言学习和写作的有利工具。

 

Copyright © 2004-2024 vtrois.com All Rights Reserved
更新时间:2026/4/8 5:05:00