1.焊接接头形式
焊接接头形式有:卷边接头、对接接头、角接接头、T形接头和搭接接头等五种。其接头坡口形式应根据结构形式、工件厚度、技术要求选用。坡口的基本形式见表3.1-1。
表3.1-1 气焊、手工电弧焊及气体保护焊焊缝坡口的基本形式与尺寸 GB 985-1988







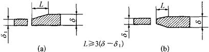
当对接接头板厚超过表3.1-2的允许厚度差时,对接接头应如图3.1-1制作。
表3.1-2 不同厚度金属对接时允许不作削薄的厚度差


图3.1-1 不同厚度板的对接
(a)单面削薄;(b)双面削薄
2.焊缝形式
表3.1-3为按不同分类方式所列焊缝形式。
表3.1-3 焊缝形式
