网站首页  词典首页


请输入您要查询的字词:

 

字词 牛磺酸
类别 中英文字词句释义及详细解析
释义

牛磺酸


别名 α-氨基乙磺酸

编码 GB 16.000

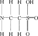
化学结构

C2H7NSO3 相对分子质量 125.15

性状 白色结晶或结晶性粉末,无臭,味微酸,可溶于水,在乙醇、乙醚或丙酮中不溶。

制法 以α-氨基乙醇与硫酸酯化,经亚硫酸钠还原生成粗品牛磺酸后精制而成。

质量标准

鉴别方法

(1)取本品水溶液(1+20)5mL,加入稀盐酸5滴和亚硝酸钠试液5滴,产生无色气泡。

(2)取本品0.5g,加NaOH溶液7.5mL,缓慢加热蒸发至干,置于500℃高温炉中强热分解2h,向残留物中加5mL水,振摇混匀,过滤,加入亚硝基铁氰化钠试液1滴,产生紫红色。

毒理学依据

1.LD50 小鼠口服大于10g/kg(bw)。

2.Ames试验 无致突变作用。

使用 营养强化剂。

1.使用注意事项

(1)牛磺酸并非组成蛋白质的氨基酸,在人体内以游离状态存在。它对促进儿童,尤其对婴幼儿大脑、身高、视力等的生长、发育起重要作用。

(2)尽管在人体中它可由蛋氨酸或半胱氨酸代谢的中间产物磺基丙氨酸脱羧形成,但婴幼儿体内此种脱羧酶活性很低,其合成受限,而应予补充。特别是用牛乳喂养的婴幼儿,因牛乳中几乎不含牛磺酸,故必须进行适当的营养强化。

2.使用范围及使用量 我国《食品营养强化剂使用卫生标准》(GB 14880-94)规定:可用于乳制品、婴幼儿食品及谷类制品,使用量为,0.3~0.5g/kg;饮液、乳饮料,0.1~0.5g/kg;配制酒;0.1~0.5g/kg;儿童口服液,4.0~8.0g/kg。

随便看

 

离鸟网收录3541549条中英文词条,其功能与新华字典、现代汉语词典、牛津高阶英汉词典等各类中英文词典类似,基本涵盖了全部常用中英文字词句的读音、释义及用法,是语言学习和写作的有利工具。

 

Copyright © 2004-2024 vtrois.com All Rights Reserved
更新时间:2026/4/8 14:34:08