网站首页  词典首页


请输入您要查询的字词:

 

字词 物料衡算的基本公式
类别 中英文字词句释义及详细解析
释义

物料衡算的基本公式


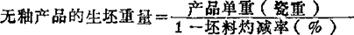
(一)瓷件重量转为生坯重量的计算公式

1.无釉产品生坯重量

2.有釉产品生坯重量

式中 a——瓷釉重量所占比例;

b——该产品瓷坯重量所占比例。

3.有釉产品生釉层重量

式中 a——瓷釉重量所占比例;

b——该产品瓷坯重量所占比例。

(二)仅具有工艺损失率指标工序的计算公式

式中 本工序加工量——指输送到本工序所需加工的物料(或半成品)量;

下道工序加工量——指输送到下工序工位上的本工序合格品数(也即下道工序应加工的物料(或半成品)量);

本工序损失率——指以本工序加工量为基数,包含本工位损失及由本工位至下道工序之间运输损失总和为子项的损失百分率指标。

例如:

(三)具有工艺余泥(余粉或余浆)及工艺损失率复合指标工序的计算公式

1.本工序需供泥料量

式中 本工序理论加工量——系指根据生坯重量及工艺损失率所衡算的工序应加工量;

本工序工艺余泥量——指泥段(或浇注用泥浆、喷釉用釉浆)总需要量与本工序理论加工量(去掉余泥、空去余浆割掉浇注口余泥、喷到坯体上粘附到半成品的釉层的重量)之重量差值;

工艺余泥率——系以成型后去除余泥或空去余浆割掉浇注口余泥的半成品重量(即工序理论加工量衡算所采用的半成品重量值)作为基数,而实际泥段(实际浇注泥浆)重量与该半成品重量之差值作为子项,所得的百分比。例如:

W泥段——实际泥段重量;

W——成型半成品重量。

2.本工序工艺余泥量

本工序工艺余泥量=本工序理论加工量×工艺余泥率(%)

式中 工艺余泥率——以成型坯体重量作为母项、泥段减去成型坯体重量的差值作为子项。

(四)具有工艺损失率及处理回泥量复合指标工序的计算公式

本工序需供物料量=本工序加工量-返回本工序的回泥(回浆)量

(五)物料衡算基本公式的变换

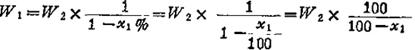
1.变换式

式中 W1——本工序加工量;

W2——下道工序加工量;

x:%——本工序开始加工,至运送到下道工序工位上,此段范围工艺损失量作为子项,本工序加工量作为母项的本工序损失率,单位为百分率(%);

x1——代表该工序损失率百分比的子项数值。

2.对于已知各工序损失率及最后一道工序成品数量,求第一道工序加工量的计算公式,可用下式表达为:

式中 W1——第一道工序应加工量(按生产流程顺次排列的工序);

——第n道(最后一道工序)工序加工成品数(入库数),

xn%、xn-1%……x1%——第n道工序逆至第一道工序,各自工序的损失率;

xn、xn-1……x1——第n道工序逆至第一道工序,各自工序损失率百分比的子项数值。

随便看

 

离鸟网收录3541549条中英文词条,其功能与新华字典、现代汉语词典、牛津高阶英汉词典等各类中英文词典类似,基本涵盖了全部常用中英文字词句的读音、释义及用法,是语言学习和写作的有利工具。

 

Copyright © 2004-2024 vtrois.com All Rights Reserved
更新时间:2026/4/8 17:04:24