网站首页  词典首页


请输入您要查询的字词:

 

字词 特丁基对苯二酚(TBHQ)
类别 中英文字词句释义及详细解析
释义

特丁基对苯二酚(TBHQ)


化学名:叔丁基对苯二酚

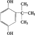
结构式

分子式:C10H14O2

相对分子质量:166.22

一、特丁基对苯二酚的鉴别

把几毫克样品溶于1mL甲醇中,然后加入几滴25%的二甲胺水溶液,溶液由淡红色变成红色而不被还原。

二、特丁基对苯二酚的定量

1.试剂和溶液

1.1 无水乙醇。

1.2 特丁基对苯二酚 标准品,已知含量。

2.仪器

2.1 GC-9A或具同等性能的其他型号气相色谱仪 配氢火焰离子化检测器和自动积分仪。

2.2 色谱柱 具总理论塔片数6万以上的弹性石英毛细管柱。固定相为OV-101(如HP-1,30m/0.32mm)。在操作条件下,特丁基对苯二酚应达基线分离。

3.操作条件

3.1 气流速度 载气为氢气,线速30cm/s。

3.2 温度 柱温220℃,进样器260℃,检测器260℃。

3.3 分流化 10∶1。

4.测定方法

称取样品0.2g(准确至0.0002g),加入1mL乙醇溶解制成样品溶液。在上述条件下进样0.6μL,由积分仪记录,并按归一法计算,自动显示有关的含量。在此之前,用特丁基对苯二酚标准品确定相应化合物的保留时间。

随便看

 

离鸟网收录3541549条中英文词条,其功能与新华字典、现代汉语词典、牛津高阶英汉词典等各类中英文词典类似,基本涵盖了全部常用中英文字词句的读音、释义及用法,是语言学习和写作的有利工具。

 

Copyright © 2004-2024 vtrois.com All Rights Reserved
更新时间:2026/4/7 13:04:47