网站首页  词典首页


请输入您要查询的字词:

 

字词 特征函数与分布展开
类别 中英文字词句释义及详细解析
释义

特征函数与分布展开


随机变量ξ的特征函数

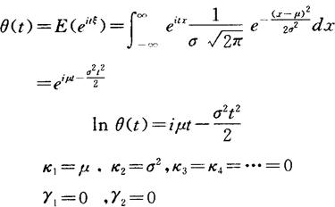
θ(t)=E(eitξ)

将θ(t)对数展开

称κs为ξ的s阶半不变量。

ξ的偏倚系数γ1与超越系数γ2

〔例2.2-4〕ξ~N(μ,σ),有

故正态分布γ1=0,γ2=0。对任一随机变量ξ,若其期望与标准差为E、σ,则的分布密度f(x)与N(0,1)的分布密度φ(x),可通过f(x)分布展开式——埃奇沃思级数联系起来

式中γ1,γ2为ξ的偏倚系数与超越系数,φ(i)(x)为φ(x)的i阶导数。

【参考文献】:

[1]王立吉,计量学基础,中国计量出版社,1988。

[2]BIPM、IEC、IFCC,IUPAC,IUPAP,OIML,Guide to the Expression of Uncertainty in Measurement, ISO,1993.

[3]刘智敏,不确定度原理,中国计量出版社,1993。

[4]刘智敏,误差分布论,原子能出版社,1988。

[5]刘智敏,误差与数据处理,原子能出版社,1983。

[6]Liu Zhimin(刘智敏),Measurement Uncertainty and Its Correlation Combination,Proceeding of ISEM, 1993.

[7]国家计量总局量值传递处编,计量技术考核纲要,计量出版社,1981。

[8]国家技术监督局审定,刘智敏等编审,全国计量检定人员考核统一试题集第六分册三,误差及数据处理,陕西科学技术出版社,1990。

随便看

 

离鸟网收录3541549条中英文词条,其功能与新华字典、现代汉语词典、牛津高阶英汉词典等各类中英文词典类似,基本涵盖了全部常用中英文字词句的读音、释义及用法,是语言学习和写作的有利工具。

 

Copyright © 2004-2024 vtrois.com All Rights Reserved
更新时间:2026/4/9 12:09:38