单位矩阵 主对角元为1,其余元素为零的矩阵,称为单位矩阵,一般记作E或I,即

数量矩阵 主对角元为k,其余元素为零的矩阵,称为数量矩阵,即kE.
对角矩阵 主对角元素为a11,a22,…,ann,其余元素为零的矩阵,称为对角矩阵,记作A,即

上三角矩阵 当i>j时,均有aij=0的矩阵,称为上三角矩阵,即

是上三角矩阵.
下三角矩阵 当i<j时,均有aij=0的矩阵,称为下三角矩阵,即

对称矩阵 A是n阶矩阵,满足条件AT=A,则称A是对称矩阵.
对称矩阵的充要条件 A是对称矩阵
.2,…,n).
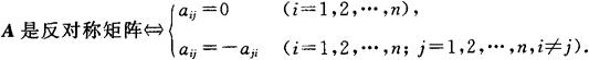
反对称矩阵 A是n阶矩阵,满足条件AT=-A,则称A是反对称矩阵.
反对称矩阵的充要条件

由n阶方阵A的元素构成的行列式称为方阵A的行列式,记为|A|或detA.
注 方阵和方阵的行列式是两个不同的概念,n阶方阵是n2个数按一定方式排成的数表.而方阵的行列式是由这n2个数按一定的运算法所确定的一个数.
方阵的行列式的运算性质
(1)|AT|=|A|.
(2)|kA|=kn|A|.
(3)|AB|=A||B|.
注 |A+B≠|A|+B|.