网站首页  词典首页


请输入您要查询的字词:

 

字词 环氧大豆油
类别 中英文字词句释义及详细解析
释义

环氧大豆油


【释文】:

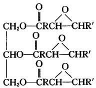
组成 大豆油是甘油的混合不饱和脂肪酸酯。脂肪酸主要成分为亚油酸(51~57%),油酸(32~36%),棕榈酸(2.4~6.8%),硬脂酸(4.4~7.3%)。将精制的豆油在酸存在下用双氧水环氧化即可制得环氧大豆油,其化学结构可表示如下。

制法 由豆油、甲酸、硫酸和苯的混合液经双氧水环氧化而得。

性质 浅黄色油状液体。平均分子量约为950。相对密度0.985~1.000(25℃)。凝固点-10~5℃。沸点150℃(533Pa,伴有分解)。闪点280~310℃。着火点310℃,蒸气压<133Pa(330℃)、13.3Pa(150℃)。表面张力34×10-5N/cm(20℃)。膨胀系数0.00071/℃(10~40℃)。折光率1.472(25℃)。加热减量≤0.3%(125℃×3h)。环氧值≥6%,加热后环氧值≥5%(177℃×3h)在水中的溶解度<0.01%(25℃),水在本品中的溶解度0.55%(25℃)。溶于脂肪烃、芳香烃、酮类、酯类、丁醇、高级醇等有机溶剂,微溶于乙醇。与聚氯

乙烯的相容性好(见表1-30)。

表1-30 环氧大豆油与树脂的相容性

〇=相容 ×=不相容 △=部分相容

用途 本品为聚氯乙烯的增塑剂兼热稳定剂。挥发性低,迁移性小,具有优良的热稳定性和光稳定性,耐水性和耐油性亦佳,可赋予制品良好的力学强度、耐候性及电性能。本品适用于各种聚氯乙烯制品,可与聚酯类增塑剂并用,减少聚酯的迁移,与热稳定剂并用有显着的协同效应。

毒性 本品的毒性极低,毒性系数T=1000。大白鼠经口LD50为22.5g/kg体重,用含本品2.5%的饲料喂饲大白鼠1~2年的长期实验证实,对动物的脏器、生长和行为均无影响,世界卫生组织(WHO)和联合国粮食与农业组织(FAO)的专门委员会提出本品的日允许摄取量为12.5~25mg/(kg·d)。

美国(参见FDA121.2001,121.2514)、英国、法国、德国、日本、意大利、荷兰等国许可本品用于制作食品包装材料。

国内生产厂

天津溶剂厂 江苏常熟第二塑料厂 四川成都溶剂厂(还生产环氧棉子油)

沈阳助剂厂 河北省张家口地区化工厂 黑龙江省友谊农场塑料助剂化工厂

随便看

 

离鸟网收录3541549条中英文词条,其功能与新华字典、现代汉语词典、牛津高阶英汉词典等各类中英文词典类似,基本涵盖了全部常用中英文字词句的读音、释义及用法,是语言学习和写作的有利工具。

 

Copyright © 2004-2024 vtrois.com All Rights Reserved
更新时间:2026/5/25 23:12:20