网站首页  词典首页


请输入您要查询的字词:

 

字词 环状糊精
类别 中英文字词句释义及详细解析
释义

环状糊精


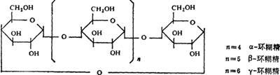
结构式

主要成分 一种环状低聚糖的同系物。由6个、7个与8个葡萄糖单体经α,1→4键环状相至连接的结晶体,分别为α、β-或γ-环糊精〔α-Cyclodextrin或Cyclohexaamylose,β-Cyclodextrin或Cycloheptaamylose,γ-Cyclodextrin或Cyclooctaamylose)。

性能 白色结晶性粉末。熔点(分解点)290~305℃。溶于水,难溶于甲醇、乙醇和丙酮。环糊精不具有还原性末端,对酸有一定的稳定性,普通的淀粉酸难于将其水解。

属环状分子,空隙内部由于含有CH和糖苷结合的-O-原子而呈疏水性。葡萄糖2,3位上的-OH基在空隙的开口部,而6位上的-OH基则在另一开口部。因而它对有机化合物、无机化合物、气体分子等都有很强的包结作用,即在分子空隙中包蔽物质(包囊化)。对淀粉酶稳定。食用后因肠内细菌作用能完全代谢,故无毒。被包接的物质对光、热及氧化更加稳定,不易挥发、蒸发和升华,其它物理化学性质也会改变(如溶解度、颜色、香和味及水中分散性等)。

各种环糊精的一般性质

质量规格(日本天然添加剂规格)

环糊精含量,%20~50(液态品或粉末品)

结晶α、β、γ-环糊精纯度,%98.5以上

用途 环糊精有很强的包接作用能被环糊精包接的物质很多,包括稀有气体、卤素、染料、香料、药物、食品、农药和防腐剂等。包接后其稳定性、挥发性、溶解性、反应性都有所改善。环糊精的这种特殊作用,使它成为具有广泛应用价值的包接材料。

利用环糊精能与药物生成包接物,可以使a.不稳定的药物稳定化;b.潮解性、粘着性或液体药物粉末化;c.难溶性或不溶性药物可溶化(增溶);d.消除与掩盖特殊臭味;e.抗氧化等。

在化妆品制造中可用环糊精作乳化剂及品质改良剂。能治疗痤疮除去皮肤上的粉刺。包接天然色素、维生素等使其稳定易溶。包接防腐剂增强防腐效果。包接有异味的添加剂或药物以去除或掩盖特殊臭味。它还具有脱臭(如除口臭)与防腐作用,可用于牙膏、牙粉的制造。在洗衣粉中可作为消泡剂,并可制造芳香味洗衣粉。蚊香、卫生香及浴用品中也可使用环糊精。其他如制造芳香型塑料、蜡烛及稳定蜂胶等。还可包接香精使其不易挥发。

另外还可用于医药工业、农药工业、食品工业等。

国内生产厂 江苏苏州味精厂。

随便看

 

离鸟网收录3541549条中英文词条,其功能与新华字典、现代汉语词典、牛津高阶英汉词典等各类中英文词典类似,基本涵盖了全部常用中英文字词句的读音、释义及用法,是语言学习和写作的有利工具。

 

Copyright © 2004-2024 vtrois.com All Rights Reserved
更新时间:2026/4/8 12:02:15