网站首页  词典首页


请输入您要查询的字词:

 

字词 理化检验
类别 中英文字词句释义及详细解析
释义

理化检验


(一)理化检验的内容

1.一般检验项目

(1)相对密度(通常在25℃/25℃或对任何其他温度进行校正,或20℃时每1mL的质量);

(2)折光指数;

(3)旋光度;

(4)溶解度(指在一特定稀释度的乙醇中的溶解度)。

2.应用有限的检验项目

(1)沸程;

(2)在特定压力下的沸点;

(3)凝固点、熔点;

(4)闪点。

3.对组分的特定检验项目(限于天然香原料和香精)

(1)酸值;

(2)醇含量;

(3)羰基物含量;

(4)氯含量;

(5)酯含量;

(6)酚含量(包括游离酚和总酚量)。

4.其他检验项目

(1)重金属离子含量;

(2)砷含量。

(二)物理指标的检验

1.相对密度的测定

(1)相对密度瓶法:依次用铬酸洗液、蒸馏水、乙醇、乙醚仔细洗净相对密度瓶,并干燥至恒量,用移液管吸取刚经煮沸并冷却至23℃~25℃的蒸馏水装满相对密度瓶,插入温度计,然后将瓶置于恒温水浴中,保持瓶中水温25℃20min,用滤纸吸去毛细管渗出的水,盖上小帽,仔细擦干相对密度瓶的外部,置于天平室或天平内,使达室温后称质量(精确至0.0002g)。按下式计算其水值mH2O:

mH2O=m1-m0

式中 m1——水和相对密度瓶质量,g;

m0——空相对密度瓶质量,g。

然后用移液管吸取23℃~25℃的试样,小心装满已知水值和瓶的质量的干燥洁净的相对密度瓶中,插入温度计,恒温、擦干和称重如上法。

相对密度(d)按下式计算:

式中 m2——试样和相对密度瓶质量,g;

m0、mHo的意义同前。

(2)韦氏相对密度秤法:用蒸馏水注入仪器所附的玻璃圆筒,将圆筒置于恒温水浴中,调节温度至25℃±0.5℃,将悬于秤端的玻璃锤浸入圆筒内的蒸馏水中,秤臂左端悬挂游码于0.9971,倾去,拭干,装入试样,并将恒温水浴温度调节至25℃±0.5℃,再将拭干的玻璃锤浸入试样中,调节秤臂右端的游码的数量与位置使其平衡,读取数值,并将此值除以0.9971,即得试样的相对密度d(25/25℃)。

2.折光指数的测定

折光指数的测定是通过折光仪进行的。

调节通过折光仪的水流,使温度恰为20℃,分开折光仪的量面棱镜,用擦镜纸或脱脂棉蘸取乙醚拭净,待棱镜完全干燥后,用玻璃棒滴加1~2滴试样于下面的棱镜上,迅速闭合棱镜,静置数分钟,以待试样达到20℃,调整反射镜,对准光源,由目镜观察,转动补偿器螺旋,使明暗两半部界限明晰,转动标尺指针螺旋,使明暗两部分分界线恰好通过物镜上“×”线的交点,检读标尺上折光指数,同时核对温度,应恰为20℃。

如在室温下调读折光指数时,可按下式换算成20℃时的折光指数(RI),但当室温低于10℃或高于30℃时,下式并不适用。

RI=r+f(t-20)

式中 r——室温(t℃)时的折光指数;

t——测读折光指数时的温度;

f——每相差1℃时折光指数的校正数。

平行试验的允许差为0.0002。

在测定折光指数之前,应先用重蒸蒸馏水校正折光仪,也可使用标准折光玻璃进行校正,校正方法是:以单溴萘将玻璃片粘附在棱镜上,校正仪器,使读数与标准玻璃片上注明的折光指数相符。

蒸馏水的折光指数见表5-6-16所示。

表5-6-16 蒸馏水的折光指数

3.比旋光度的测定

先将光源对准旋光仪的中心,由目镜观察时,有清晰的视野场,用蒸馏水校正至刻度盘上零点,将试样注入100mm旋光管中,再置于中心轴槽中的起偏振镜与检偏振镜间观察。

调整目镜,使有清晰的视野场,转动检偏振镜的螺旋,直至视野场中明暗两部分的亮度相同,而由此微向左或右转动时,即发生明暗度的差别,读取此时在刻度盘上的度数,再缓缓转动检偏振镜的螺旋,用同法读取刻度盘上的度数2次,取3次的平均数,即为试样的旋光度。平行试验结果的允许差为0.2°。

比旋光度计算式为:

式中 [α]——在温度t℃时溶液的比旋光度(钠黄光);

α——在温度t℃时溶液的旋光度;

l——旋光管长度,dm;

ρ——溶液的浓度,以试样在100mL溶液中的质量,g。

4.凝固点的测定

量取干燥试样10mL,置于试管中,将温度计与搅拌棒通过软木塞固定于套管中,然后将套管固定于1000mL烧杯内,烧杯内盛有低于欲测试样凝固点约5℃的水;装置妥善后即开始上下搅动使试样结晶,待温度开始回升则停止搅动,待温度上升到最高点时读取温度,即为凝固点;融化后重复测定,直至二次结果相差不超过0.1℃为止。

平行试验结果的允许差为0.2℃。

5.熔点的测定

取少量经预干燥并研成粉末的试样,装入一端封闭的毛细管中。将毛细管自长约1m的玻璃管顶端投入,玻璃管应垂直放在坚实的桌面上,这样重复数次,直至试样紧密地沉在玻璃管底。试样在毛细管中的高度为2.5~3.5mm。将毛细管和温度计缚紧,使管的贮样部分恰好靠近温度计水银球的中部,浸入盛有传温液的高型烧杯中,毛细管口在液面上约30mm,管底距杯底约20mm。烧杯内置搅拌器,加热时必须搅动,使温度均匀上升到距预期熔点10℃时,以每分钟1.0~1.5℃的速度加热,当管内试样开始液化(有明显的崩离管壁的现象)时,即为始熔点,或称熔点,管内试样完全熔化时为终熔点。始熔点至终熔点的温度范围即为试样的熔程。

平行试验的允许差为0.2℃。

6.闪点的测定

闪点的测定通过闪点测定仪进行。

将试样注入储器到表线为止,装置妥善后,以每分钟5~8C的速度加热,同时开动搅拌器,加热到距预期闪点30℃以下时,加热速度减到每分钟升高2℃。当温度低于预期闪点10℃时,每升高1℃进行一次点火试验,在全部试验期间均进行搅拌,仅在点火时才停止搅拌。点火时,打开盖孔约1min,火焰约为直径3~4mm的球形。如不闪火,即重新搅拌试样,重复进行点火试验。以试样表面上方最初出现蓝色火焰时,温度计上所显示的温度即为闪点。

7.溶解度的测定

精确量取或称取经预先干燥的1mL或1mg试样,置于20mL量筒中,在25℃恒温水浴中保温,用滴管缓缓滴入一定浓度的乙醇,每次滴加后,均应摇匀,至溶液澄清时,记录乙醇的体积(mL),即为在该浓度乙醇中的溶解度。

平行试验结果的允许差为0.2mL。

8.不挥发物的测定

称取试样约2g(精确至0.0002g)于一经预先干燥的蒸发皿中,置沸水浴上加热,待试样挥发完毕,将蒸发皿移至105℃烘箱中烘1~2h,取出移至干燥器内冷却,称量质量,继续烘至质量恒定,由所得质量减去蒸发皿之质量,即为不挥发物之质量。

不挥发物含量百分率(X)按下式计算:

式中 m1——不挥发物及蒸发皿质量,g;

m2——蒸发皿质量,g;

m——试样质量,g。

(三)化学指标的检验

1.醇含量的测定

测定试样中游离醇的方法很多,例如乙酰化法,甲酸法等,叔醇的分析方法有Glichitch法、Boulez法、griignar法、脱水法、氯化乙酰-二甲基苯胺法等。其中乙酰化法应用比较普遍,其测定原理是使游离醇生成乙酸酯,求出酯价后换算成醇含量。

某些试样酯化前就含有部分酯类,计算酯含量时应包括这一部分,构成该部分酯的醇称为结合醇,结合醇含量应事先测出。游离醇加结合醇称为总醇,总醇含量在实际分析中是很重要的参数。

(1)乙酰化法(测定总醇)。本方法适用于某些伯醇和仲醇的测定。

乙酰化:量取10mL试样,10mL醋酐,并称取2.00g无水醋酸钠,置于100mL乙酰化瓶中,连接空气冷凝器,放在油浴内缓缓沸腾1h,取出冷却0.5h,加入50mL蒸馏水,在水浴上加热15min,并时时振荡,冷却后,倾入分液漏斗,静置分层,放去下层酸性水液,加50mL饱和氯化钠溶液,充分振荡混合,静置使分层,放去下层水溶液,依次用饱和碳酸钠溶液和饱和氯化钠溶液各50mL洗涤,最后用蒸馏水洗涤数次,每次50mL,直至洗液呈中性为止,静置分层,放出水相,将所得乙酰化试样置于25mL锥形瓶中,加入3g无水硫酸镁使其干燥,干燥时将瓶塞塞紧,并不时振荡至澄清,过滤。

皂化:称取干燥乙酰化样品2g左右(精确至0.0002g)置于皂化瓶中,用移液管准确移入50mL氢氧化钾乙醇溶液(0.5mol/L),连接空气冷凝器,在沸水浴上回流1h;冷却至室温,取下冷凝器,加入约5~10滴酚酞指示液,用标准盐酸溶液(0.5mol/L)滴至粉红色消失为止,同时,不加试样按上述操作程序进行空白试验。

计算:

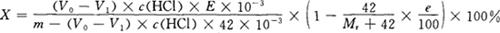
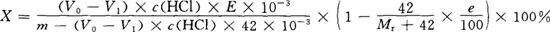
游离醇含量(X)可按下式计算:

乙酰化后酯值:试样所含醇的组成结构不明者,则用乙酰化后酯值表示。

总醇(包括假定试样中酯值都是乙酸酯)含量(X)按下式计算:

式中 V0——空白试验所消耗标准酸溶液的体积,mL;

V1——滴定试样所消耗标准酸溶液的体积,mL;

(HCI)——标准酸溶液的浓度,mol/L;

E——醇的相对分子质量;

42——醋酸酯与醇相对分子质量之差;

e——试样中含酯的含量;

42/(Mr+42)——乙酰基与酯相对分子质量之比;

Mr——醇的相对分子质量;

m——乙酰化试样质量,g;

A——乙酰化后的酯值;

56.1——氢氧化钾的相对分子质量。

平行试验结果的容许差为0.5%。

(2)氯化乙酰-二甲基苯胺法。本法适用于叔醇。

乙酰化:量取预先经干燥的无水硫酸钠的试样10mL,置于100mL定碘瓶中,用冰水浴冷却10min以上,加入20mL二加基苯胺,摇匀后在冰水中再冷却15min加入8mL氯化乙酰(打开安培瓶直接倾入)和5mL乙酐,继续冷却10min,移入20℃保温箱中(或恒温水浴中)静置30min,50℃±1C的水浴中保温4h整,瓶底离水浴底不少于10mm,液面需低于水面20~30mm。取出倾入分液漏斗中,用冰盐水洗涤3次,每次用75mL,继续用25mL稀硫酸(5%)洗涤4~5次,以洗去二甲基苯胺。用10mL碳酸钠溶液(10%)洗涤1次,并用50mL饱和氯化钠溶液洗涤2次,最后用蒸馏水洗涤1次静置使分层清晰,放去下层水溶液,将所得的乙酰化试样置于25mL的锥形瓶中,加入约3mg无水硫酸镁干燥,过滤。

皂化:称取干燥乙酰化试样约2g(精确至0.0002g)于150mL皂化瓶中,用移液管加入50mL氢氧化钠乙醇溶液(0.5mol/L),连接空气冷凝器,在沸水浴上回流1h,冷却至室温,取下空气冷凝器,加入5~10滴酚酞指示液,用标准盐酸溶液滴定至粉红色消失为止,同时不加试样按上述操作程序进行空白试验。

叔醇百分率(X)按下式计算:

总醇百分率按下式计算(如试样中有酯存在,假定都是乙酸酯):

式中 V0——空白试验所消耗的标准盐酸溶液的体积,mL;

V1——滴定试样所消耗的标准盐酸溶液的体积,mL;

E——叔醇的相对分子质量;

42——乙酸酯与其醇相对分子质量之差;

42/(Mr+42)——乙酰基与乙酸相对分子质量之比;

m——乙酰化后试样质量,g;

Mr——醇的相对分子质量;

c(HCI)——标准盐酸溶液的浓度,mol/L;

e——试样中含酯量。

2.酚的测定

用移液管精确吸取干燥的试样10mL,注入150mL醛瓶中,加入75~100mL氢氧化钾溶液(1mol/L),在沸水浴中加热10min并至少振荡3次,然后沿瓶壁缓缓加入氢氧化钾溶液,再加热5min使油层完全上升至瓶颈刻度处。静置使分层,冷却至室温,读取油层的体积(mL)。

以容量计算酚含量(X):

式中 V——试样的体积,mL;

V1——油层的体积,mL。

平行试验结果的允许差为1.0%。

3.醛和酮的测定

醛和酮的一般分析方法有羟胺法、盐酸羟胺法、中性亚硫酸钠法和亚硫酸氢钠法。

(1)羟胺法:

称取一定量的试样(精确到0.0002g),置于250mL锥形瓶中,用滴定管精确加入75mL羟胺溶液,摇匀,在室温下静置1h(或按规定时间静置或回流见,表5-6-17)。用盐酸标准溶液滴至绿黄色,同时不加试样按上述操作程序进行空白试验。

醛(或酮)的含量(X)按下式计算:

式中 V0——空白试验所消耗盐酸标准溶液的体积,mL;

V1——滴定试样所消耗盐酸标准溶液的体积,mL;

c(HCI)——盐酸标准溶液的浓度,mol/L;

Mr——醛(或酮)的相对分子质量;

m——试样质量,g。

平行试验结果的允许差为0.5%。

表5-6-17 醛和酮测定(羟胺法)反应时间与温度

(2)盐酸羟胺法:

称取一定量的试样(精确至0.0002g),置于250mL锥形烧瓶中,加入50mL0.5mol/L盐酸羟胺溶液,摇匀,在室温静置1h(或按规定时间静置)。用氢氧化钠标准溶液滴定至与空白试验相同的黄绿色,或滴定至与试剂盐酸羟胺同样的pH。

醛(或酮)的含量(X)可按下式计算:

式中 V——滴定试样所消耗的氢氧化钠标准溶液的体积,mL;

c(NaOH)——氢氧化钠标准溶液的浓度,mol/L;

Mr——醛(或酮)的相对分子质量;

m——试样质量,g。

平行试验结果的允许差为0.5%。

(3)中性亚硫酸钠法:

用移液管精确吸取干燥的试样10mL,注入醛瓶中,加入75mL中性亚硫酸钠饱和溶液,振摇混合,加入2滴酚酞指示液,随即置于沸水浴中不断振荡,当粉红显现时,加入数滴醋酸水溶液(1∶1),使瓶内混合液的粉红色退去,重复加热振荡,当粉红色不再显出时,再加入数滴酚酞指示液,继续加热15min,如不再显出粉红色时,取出冷却至室温,如仍有粉红色显出,则再加热并滴加醋酸溶液至粉红色退去,取出冷却至室温,当油层完全与水相分离后,加入足量的中性亚硫酸钠饱和溶液,使油层完全升至瓶颈刻度处,读取油层的体积(mL)。

按容量计算醛(或酮)的含量(X):

式中 V——试样的体积,mL;

V1——油层的体积,mL。

平行试验结果的允许差为1.0%。

(4)亚硫酸氢钠法:

用移液管精确吸取干燥的试样10mL,注入150mL醛瓶中,加入75mL亚硫酸氢钠溶液(30%),摇匀,浸入沸水中,不时加以振荡。继续加25mL亚硫酸氢钠溶液(30%),反复振荡,并加热,然后加入足够的亚硫酸氢钠溶液(30%),使油层完全上升至瓶颈刻度处,冷至室温后,读取油层的体积(mL)。

按容量计算醛(或酮)的含量(X):

式中 V——试样的体积,mL;

V1——油层的体积,mL。

平行试验结果的允许差为1.0%。

4.酸值的测定

称取试样约5g(精确至0.0002g)置于100mL锥形瓶中,加入20mL中性精制乙醇,3滴酚酞指示液,用氢氧化钾标准溶液(0.1mol/L)滴至粉红色出现,维持10s以上不退色,即为终点。

按下式计算酸值(X):

式中 V——滴定试样所消耗的氢氧化钾标准溶液的体积,mL;

c(KOH)——氢氧化钾标准溶液的浓度,mo1/L;

m——试样质量,g;

56.1——氢氧化钾的相对分子质量。

游离酸含量(X)可按下式计算:

式中 V——滴定试样所消耗的氢氧化钾标准溶液的体积,mL;

c(KOH)——氢氧化钾标准溶液的浓度,mol/L;

m——试样质量,g;

Mr——酸的相对分子质量。

平行试验结果的允许差如下:

酸值在10以下允许差为0.2;

游离酸含量在10%以下的允许差为0.2%。

酸值在10~100允许差为0.5;

游离酸含量在10%以上的允许差为0.5%。

酸值在100以上允许差为1.0。

5.酯含量的测定

称取适量试样(精确至0.0002g)于150mL皂化瓶中,加入5mL中性乙醇(95%)和2滴酚酞指示液,滴加0.1mol/L氢氧化钾(或钠)溶液以中和游离酸,用移液管准确加入25mL氢氧化钾乙醇溶液(0.5mol/L),连接冷凝器,在沸水浴上回流1h,冷却至室温,取下冷凝器,加入5~10滴酚酞指示液,用盐酸标准溶液(0.5mol/L)滴至粉红色为止,同时不加试样按上述操作程序进行空白试验。

酯值(C)按下式计算:

酯含量(X)按下式计算:

式中 V0——空白试验所消耗的盐酸标准溶液的体积,mL;

V1——滴定试样所消耗的盐酸标准溶液的体积,mL;

c(HCI)——盐酸标准溶液的浓度,mol/L;

m——试样质量,g;

56.1——氢氧化钾的相对分子质量。

平行试验结果的允许差如下:

酯值在10以下允许差为0.2;

酯含量在10%以下允许差为0.2%;

酯值在10~100允许差为0.5;

酯含量在10%以上允许差为0.5%;

酯值在100以上允许差为1.0。

6.微量氯的测定-铜片法

取长50mm、宽40mm、厚0.1mm规格之铜片,用坩埚钳钳住,在本生灯上灼烧至铜片两面生成氧化铜薄膜为止。待铜片稍冷,用滴管(管口径以20滴为1mL者为宜)滴加试样2滴于铜片上,在本生灯上加热,移至空气中燃烧。如此重复3次。共加试样6滴以后,将铜片竖起自左至右或自右至左迅速地在氧化焰上烧过(火焰高度:还原焰30mm,氧化焰60mm)。此时应仔细观察,不应有瞬息之绿色。

如上操作3次,如3次均为无绿色火焰,即视为通过(含氯量在许可范围内),3次中如有一次有极微之绿色火焰,则重复检验3次,如其中仍有一次有明显之绿色,即视为不通过(含氯量超出许可范围)。

7.重金属限量检验

(1)原理。在弱酸性(pH3~4)条件下,试样中的重金属离子与硫化氢作用,生成棕黑色,与同样处理的铅标准溶液比较,做限量试验。

(2)样品处理。一般样品可直接进行测定,如果A管的色度深于C管的色度,应先经样品处理;有些样品需要干法消解。

a.无机样品的处理可按各样品规定的方法进行。

b.有机样品的处理一般可按下述程序进行。

湿法消解:称取5.0g样品,置于250mL开氏烧瓶或三角烧瓶中,加入10~15mL硝酸浸湿样品,放置片刻(或过夜)后,缓缓加热,待反应缓和后稍稍冷却,沿瓶壁加入5mL浓硫酸,再缓缓加热,至瓶中溶液开始变成棕色,不断滴加硝酸(如有必要可滴加一些高氯酸,在操作时应注意防止爆炸),至有机质分解完全,继续加热,至生成大量的二氧化硫白色烟雾,最后溶液应呈无色或微带黄色,冷却后加20mL水,煮沸除去残余的硝酸至产生白烟为止。如此处理2次,冷却。将溶液移入50mL容量瓶中,用水洗涤开氏烧瓶或三角烧瓶,将洗液并入容量瓶中,加水至刻度,混匀。每10mL溶液相当于1.0g样品。

不加试样按上述程序进行空白试验。

干法消解(本法适用于不适合湿法消解的样品):称取样品5.0g,置于坩埚中,加入适量硫酸以浸润样品,小火炭化后,加2mL硝酸和5滴硫酸,小心加热,直到白色烟雾挥发尽,移入高温炉中,于550℃灰化完全,冷却后取出,加2mL6mol/L的盐酸浸润残渣,于水浴上慢慢蒸发至干。再用1滴浓盐酸浸润残渣,并加水10mL,于水浴上再加热2min,将溶液移入50mL容量瓶中,如有必要需过滤,用少量水洗涤坩埚和滤器,洗涤液一并移入容量瓶中,混匀。每10mL溶液相当于1.0g样品。

不加样品按上述程序进行空白试验。

(3)测定。

a.A管:吸取含铅量相当于指定的重金属限量的铅标准溶液(不低于10μg铅)于50mL纳氏比色管中(如样品经处理,则需同时吸取与样品液等量的试剂空白液),加水至25mL,混匀,加1滴酚酞指示液,用6mol/L的盐酸或1mol/L的氨水调节pH至中性(酚酞红色刚退去),加入pH3.5的乙酸盐缓冲液5mL,混匀,备用。

b.B管:取一支与A管所配套的纳氏比色管,加入10~20mL(或适量)样品液,加水至25mL,混匀,加1滴酚酞指示液,用6mol/L的盐酸或1mol/L的氨水调节pH至中性(酚酞红色刚退去),加入pH3.5的乙酸盐缓冲液5mL,混匀,备用。

c.C管:取一支与A、B管配套的纳氏比色管,加入与B管等量的相同的样品液,再加入与A管等量的铅标准溶液,加水至25mL,混匀。加1滴酚酞指示液,用6mol/L的盐酸或1mol/L的氨水调节pH至中性(酚酞粉红色刚退去),加入pH3.5的乙酸盐缓冲溶液5mL,混匀,备用。

d.向各个比色管中加入10mL新鲜制备的硫化氢饱和溶液,并加水至50mL刻度,混匀,于暗处放置5min后,在白色背景下观察,B管的色度不得深于A管的色度,C管的色度与A管的色度相当或略深于A管的色度,否则视为超限量。

8.铅的测定

(1)原理。样品经处理后加入柠檬酸铵、氰化钾和盐酸羟胺等,消除铁、铜、锌等离子的干扰,在pH8.5~9.0时,铅离子与双硫腙生成红色络合物,用三氯甲烷提取,与标准系列比较做限量测定或定量测定。

(2)样品处理。

a.无机样品的处理可按各样品规定的方法进行。

b.有机样品的处理一般可按下述程序进行。

湿法消解:称取5.0g样品,置于250mL开氏烧瓶或三角烧瓶中,加入10~15mL硝酸浸湿样品,放置片刻(或过夜)后,缓缓加热,待反应缓和后稍稍冷却,沿瓶壁加入5mL浓硫酸,再缓缓加热,至瓶中溶液开始变成棕色,不断滴加硝酸(如有必要可滴加一些高氯酸,在操作时应注意防止爆炸),至有机质分解完全,继续加热,至生成大量的二氧化硫白色烟雾,最后溶液应呈无色或微带黄色,冷却后将溶液移入50mL容量瓶中,用水洗涤开氏烧瓶或三角烧瓶,将洗液并入容量瓶中,加水至刻度,混匀。每10mL溶液相当于1.0g样品。

不加试样按上述程序进行空白试验。

干法消解(本法适用于不适合湿法消解的样品):称取样品5.0g,置于坩埚中,加入适量硫酸以浸润样品,小火炭化后,加2mL硝酸和5滴硫酸,小心加热,直到白色烟雾挥发尽,移入高温炉中,于550℃灰化完全,冷却后取出,加1mL硝酸溶液(硝酸∶水=1∶1),加热使灰分溶解,将溶液移入50mL容量瓶中(如有必要需过滤),用少量水洗涤坩埚和滤器,洗涤液一并移入容量瓶中,混匀。每10mL溶液相当于1.0g样品。

不加样品按上述程序进行空白试验。

(3)测定。

a.限量试验。吸取适量样品液及铅的限量标准溶液(含铅不低于5μg),分别置于125mL分液漏斗中,各加1%硝酸至20mL。

向样品液及铅的限量标准溶液中各加1mL50%的柠檬酸铵溶液、1mL20%的盐酸羟胺溶液和2滴酚红指示液,用氨水(1∶1)调至红色,再各加2mL10%氰化钾溶液,混匀后,加入5mL双硫腙溶液,剧烈振荡1min,静止放置分层后,三氯甲烷层经脱脂棉滤入1cm比色杯中,于波长510nm处,以三氯甲烷调节零点,测定吸光度,或进行目视比色,样品液的吸光度或色度不应大于铅的限量标准液的吸光度或色度。

若样品经过处理,则铅的限量标准液也应以同法处理。

b.定量测定。吸取10mL(或适量)样品液和同量的空白试剂,分别置于125mL分液漏斗中,各加1%硝酸至20mL。

吸取铅标准溶液0.0mL、0.1mL、0.3mL、0.5mL、0.7mL、1.0mL(分别相当于0μg、1μg、3μg、5μg、7μg、10μg铅),分别置于125mL的分液漏斗中,各加1%硝酸至20mL。

向样品液、空白试剂液及铅标准溶液中各加1mL50%的柠檬酸铵溶液、1mL20%的盐酸羟胺溶液和2滴酚红指示液,用氨水(1∶1)调至红色,再各加2mL10%氰化钾溶液,混匀后,加入5mL双硫腙溶液,剧烈振荡1min,静止放置分层后,三氯甲烷层经脱脂棉滤入1cm比色杯中,于波长510nm处,以零管调节零点,测定吸光度。并将铅标准溶液的吸光度值与铅含量绘制成标准工作曲线。

c.计算。

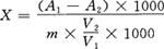
样品中的铅含量可用下式计算:

式中 X——样品中铅的含量,mg/kg或mg/L;

A1——样品液中铅的含量,μg;

A2——试剂空白液中铅的含量,μg;

m——样品质量(或体积),g或mL;

V1——样品处理后定容体积,mL;

V2——测定时所取样品液体积,mL。

9.砷的测定-二乙氨基二硫代甲酸银比色法

(1)原理。在碘化钾和氯化亚锡存在下,将样品液中的高价砷还原为三价砷,三价砷与锌粒和酸产生的新生态氢作用,生成砷化氢气体,经乙酸铅棉花除去硫化氢干扰后,将溶于三乙醇胺-三氯甲烷或吡啶中的二乙氨基二硫代甲酸银溶液吸收并作用,生成紫红色络合物,与标准液比较定量。

(2)样品处理。

a.无机样品的处理可按各样品规定的方法进行。

b.有机样品的处理一般可按下述程序进行。

湿法消解:称取5.0g样品,置于250mL开氏烧瓶或三角烧瓶中,加入10~15mL硝酸浸湿样品,放置片刻(或过夜)后,缓缓加热,待反应缓和后稍稍冷却,沿瓶壁加入5mL浓硫酸,再缓缓加热,至瓶中溶液开始变成棕色,不断滴加硝酸(如有必要可滴加一些高氯酸,在操作时应注意防止爆炸),至有机质分解完全,继续加热,至生成大量的二氧化硫白色烟雾,最后溶液应呈无色或微带黄色。冷却后加20mL水,煮沸除去残余的硝酸至产生白烟为止。如此处理2次,冷却。将溶液移入50mL容量瓶中,用水洗涤开氏烧瓶或三角烧瓶,将洗液并入容量瓶中,加水至刻度,混匀。每10mL溶液相当于1.0g样品。

不加试样按上述程序进行空白试验。

干法消解(本法适用于不适合湿法消解的样品):称取样品5.0g,置于瓷坩埚中,加入10mL5%的硝酸镁溶液,再在上面覆盖1g硝酸镁粉末,混匀,浸泡4h,于低温或水浴上蒸干,用小火加热炭化完全后,将坩埚移至高温炉中,于550℃下灰化完全,冷却后取出,加适量水浸润灰分,再缓缓加入盐酸(1∶1)溶液至酚酞红色退去,然后将溶液移入50mL容量瓶中(必要时过滤),用少量水洗涤坩埚和滤器3次,洗涤液一并移入容量瓶中,混匀。每10mL溶液相当于1.0g样品。

不加样品按上述程序进行空白试验。

(3)测定。

a.吸收液的选择:选择三氯甲烷或吡啶作为吸收液,可根据分析的需要来判断,但是在测定过程中,样品、空白及标准都应用同一吸收液。

b.限量测定:吸取一定量的样品液和砷的限量标准液(含砷量不低于5μg),分别置于砷发生瓶的A中,补加硫酸使总量为5mL,再加水至总量为50mL。

于上述各瓶中加入3mL5%的碘化钾溶液,混匀,放置5min,分别加入1mL40%氯化亚锡溶液,混匀,再放置15min。各加入5g无砷金属锌,立即塞上装有乙酸铅棉花的导气管B,并使B的尖端插入盛有5.0mL三氯甲烷或吡啶的吸收管C中,室温反应1h,取下吸收管C,用三氯甲烷或吡啶将吸收液补充到5.0mL。

通过目视比色,或者用1cm比色杯,于515nm(三氯甲烷为吸收液)或540nm(吡啶为吸收液)处,测定吸收液的吸光度。样品液的色度或吸光度不得超过砷的限量标准吸收液的色度或吸光度。

若样品经过处理,则砷的限量标准液也需同样处理。

c.定量测定。吸取25mL(或适量)样品液及同量的试剂空白液,分别置于砷发生瓶的A中,补加硫酸使总量为5mL,再加水至总量为50mL。

吸取0.0mL、2.0mL、4.0mL、6.0mL、8.0mL、10.0mL砷标准溶液(1mL相当于1.0μg砷),分别置于砷发生瓶A中,加水至40mL,再加10mL硫酸溶液(1∶1),混匀。

于上述瓶各中加入3mL5%的碘化钾溶液,混匀,放置5min,分别加入1mL40%氯化亚锡溶液,混匀,再放置15min。各加入5g无砷金属锌,立即塞上装有乙酸铅棉花的导气管B,并使B的尖端插入盛有5.0mL三氯甲烷或吡啶的吸收管C中,室温反应1h,取下吸收管C,用三氯甲烷或吡啶将吸收液补充到5.0mL。用1cm比色杯,于515nm(三氯甲烷为吸收液)或540nm(吡啶为吸收液)处,用零管调节零点,测定吸收液的吸光度,绘制标准曲线进行比较。

若样品经过处理,则砷的标准系列也需同样处理,以对标准曲线进行校正。

d.计算。

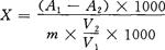
样品中的砷含量可用下式计算:

式中 X——样品中砷的含量,mg/kg或mg/L;

A1——样品液中砷的含量,μg;

A2——试剂空白液中砷的含量,μg;

m——样品质量(或体积),g或mL;

V1——样品处理后定容体积,mL;

V2——测定时所取样品液体积,mL。

随便看

 

离鸟网收录3541549条中英文词条,其功能与新华字典、现代汉语词典、牛津高阶英汉词典等各类中英文词典类似,基本涵盖了全部常用中英文字词句的读音、释义及用法,是语言学习和写作的有利工具。

 

Copyright © 2004-2024 vtrois.com All Rights Reserved
更新时间:2026/5/31 21:33:35