网站首页  词典首页


请输入您要查询的字词:

 

字词 瓜瓣碟形封头料计算
类别 中英文字词句释义及详细解析
释义

瓜瓣碟形封头料计算


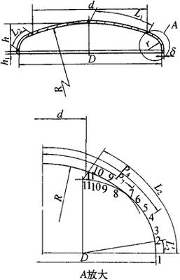
图3-135 立体图

如图3-136所示,为淋洗塔碟形封头施工图。碟形封头由三部分组成,即直段、过渡段和球面部分。计算方法与瓜瓣标准椭圆封头相似,其要领是:展开半径的原点为封头中心点,展开半径长为原点至各等份点距离,由此而形成的缺角,可用缺角高度的来补偿。此例过渡段按瓜瓣、球面部分按直线形分别叙述。

图3-136 碟形封头

另外,为了扩大碟形封头的下料视野,还介绍了由瓜瓣过渡段和瓜瓣球带组合的碟形封头。

1.瓜瓣过渡段、球面直线形组合的碟形封头

(1)瓜瓣过渡段的计算

图3-137为计算原理图,图3-138为瓜瓣展开图。下面计算各数据如下。

图3-137 计算原理图

图3-138 瓜瓣展开图

①过渡段展开长L2=πr/2=π×620/2=974(mm)

④各等份点所对应展开半径Pn=L1+nL2

P3=L1+8L2′=2537+8×97.4=3352(mm)

同理得:

P11=2573mm,P10=2670.4mm,P9=2768mm,

P8=2865mm,P7=2963mm,P6=3060mm,

P5=3157mm,P4=3255mm,P2=3450mm,

P1=3547mm。

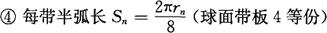
⑥任一等份点所对应的纬圆半径

r9=620×sin(2×9°)+(3100-620)=2672(mm)

同理得:

r11=2480mm,r10=2577mm,r8=2761mm,r7=2844mm,

r6=2918mm,r5=2982mm,r4=3032mm,r3=3070mm,

r2=3092mm,r1=3100mm。

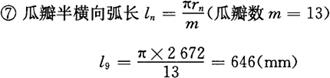
同理得:

l11=599mm,l10=623mm,l8=667mm,l7=687mm,l6=705mm,

l5=721mm,l4=733mm,l3=742mm,l2=747mm,l1=749mm。

⑧通过多年实践证明,缺角应按图3-138处理,e为缺角高,根据具体扇形宽,可按补之。

式中 R——球面部分内半径;

r——过渡段内半径;

D——端口内直径;

d——球面部分直径;

m——过渡段瓜瓣数,本例m=13;

n——过渡段弧长等分数,本例n=10。

(2)球面部分的计算

如图3-136,设计要求的球面部分的制造直径为Φ5000mm,为了有足够的而不是过多的余量,施工图见图3-139,用δ=14mm,B1=1600mm,0Cr19Ni9不锈钢板制造。下面计算各数据。

图3-139 加余量后球面部分

③加余量后弧长L1′=L1+e=5146+104=5250(mm)

④假定用板宽为1600mm,那么边板宽为1025mm。

⑤坯料直径D的确定:

坯料直径D=2R·sinQ′1=2×6200×sin24.26°=5095(mm)

⑥展开半径(mm)

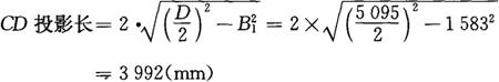
⑦中板与边板交线CD的计算,计算原理见图3-140。

图3-140 球面部分计算原理图

CD弦的偏心距B1=R·sinQ3

=6200×sin14.79°

=1583(mm)

⑧CD的弧长l3

AB弧的弦高h1=R·(1-cosQ′1)=6200×(1-cos24.26°)

=547.5(mm)(此数据可作为AB边划线胎高度用)

CD弧的弦高h2=h1-R·(1-cosQ3)

=547.5-6200×(1-cos14.79°)

=342(mm)(此数据可作为CD边划线胎高度用)

⑨中板的计算(展开图见图3-141)。图中的大部分数据前已计算出,这里只计算端部弧长S1

图3-141 中板展开图

⑩边板的计算(展开图见图3-142)。这里主要计算三项:

图3-142 边板展开图

右侧弧长S2=(πD-4S1)/2=(π×5095-4×1708)/2

=4587(mm)

2.瓜瓣球面部分的计算

上面介绍的是淋洗塔下部碟形封头,而在上部有一同样规格的碟形封头,其上竖立一Φ3100mm的接管,根据此结构形式,就不能用直线形球缺封头下料,应按分瓣形封头下料。如图3-143所示,为带中孔碟形封头施工图,下面计算有关数据。

图3-143 带中孔碟形封头

(1)瓜瓣过渡段的计算

瓜瓣过渡段完全同图3-137,此略。

(2)瓜瓣球带的计算

图3-144为计算原理图,图3-145为展开图。

图3-144 计算原理图

图3-145 球面瓜瓣展开图

②展开半径Pn=R·tanQn

P1=6200×tan23.78°=2732(mm)

同理得:

P2=2151mm,P3=1601mm。

③各点纬圆半径rn=R·sinQn

r1=6200×sin23.78°=2500(mm)

同理得:

r2=2032mm,r3=1550mm。

随便看

 

离鸟网收录3541549条中英文词条,其功能与新华字典、现代汉语词典、牛津高阶英汉词典等各类中英文词典类似,基本涵盖了全部常用中英文字词句的读音、释义及用法,是语言学习和写作的有利工具。

 

Copyright © 2004-2024 vtrois.com All Rights Reserved
更新时间:2026/4/8 20:00:12