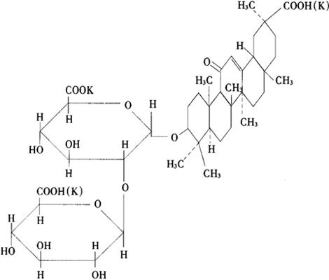
结构式:

分子式:C42H61O16K
相对分子质量:860.98
甘草酸一钾及甘草酸三钾的鉴别
本品呈现甘草酸反应和钾离子反应。
1.试剂和溶液
1.1 乙醇 分析纯。
1.2 0.5%香草醛的硫酸溶液。
2.操作步骤
2.1 甘草酸反应 取本品0.5~1mg,加乙醇0.5mL使之溶解,再加0.5%香草醛的硫酸溶液1~2mL,溶液呈黄色并渐变为紫色,加水约2mL,产生蓝色絮状物。
2.2 钾离子反应。
2.2.1 在进行焰色反应试验时,呈淡紫色,若火焰呈黄色时,用钴玻璃观察,呈现红紫色。
2.2.2 加新配制的酒石酸氢钠溶液(1+10)于钾盐中性溶液(1+20)时,生成白色结晶沉淀(如用玻璃棒擦试管内壁可加速沉淀生成)。分离沉淀,加氨试液、氢氧化钠溶液(1+25)或无水碳酸钠溶液(1+8)时,沉淀溶解。