编码 GB 19.010
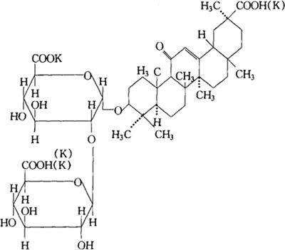
化学结构

C42H61O16K 相对分子质量 860.98
性状 类似白色或淡黄色粉末,无臭。有特殊的甜味(甘草酸一钾的甜度约为蔗糖的500倍,甘草酸三钾为蔗糖的150倍),甜味残留时间长,易溶于水,溶于稀乙醇、甘油、丙二醇,微溶于无水乙醇和乙醚。
制法 以天然物甘草为原料,用水抽提后加钾碱进行部分中和,精制得甘草酸一钾。完全中和,精制则得甘草酸三钾。
质量标准

鉴别方法 本品呈现甘草酸反应和钾离子反应。
1.甘草酸反应 取本品0.5~1mg,加乙醇0.5mL使之溶解,再加0.5%香草醛的硫酸溶液1~2mL,溶液呈黄色并渐变为紫色,加水约2mL,产生蓝色絮状物。
2.钾离子反应 参见碳酸钾鉴别方法。
毒理学依据
LD50 小鼠口服大于10g/kg(bw)。
使用 甜味剂。
我国《食品添加剂使用卫生标准》(GB 2760-1996)规定:可按生产需要适量用于肉类罐头、调味料、糖果、饼干、蜜饯、凉果、果汁(味)型饮料,具体用量参见甘草。