网站首页  词典首页


请输入您要查询的字词:

 

字词 甜菊糖苷
类别 中英文字词句释义及详细解析
释义

甜菊糖苷


一、甜菊糖苷的鉴别

1.试剂和溶液

1.1 无水乙醇。

1.2 硅胶G 薄层分析用。

1.3 过碘酸钠溶液 4%水溶液。

1.4 显色剂 1%对硝基苯胺乙醇液+盐酸(4+1)。

2.操作步骤

取本品约5mg置试管中,加无水乙醇1mL使溶解,制成供试液。另取甜菊苷对照品,加无水乙醇制成每毫升含5mg的溶液。照薄层层析法试验。吸取上述两种溶液各30μL,分别点于硅胶G板上,用氯仿∶甲醇∶水(35∶20∶4)为展开剂,展开后,喷以4%过碘酸钠水溶液,10min后,再喷以1%对硝基苯胺乙醇盐酸(4∶1)液,供试液所显黄色斑点的位置与对照斑点相同。

二、甜菊糖苷的含量测定

(一)滴定法

1.试剂和溶液

1.1 0.05mol/L氢氧化钾-乙醇标准溶液 取氢氧化钾3.5g,置锥形瓶中,加无醛乙醇适量使溶解并稀释成1000mL,用橡皮塞密塞,静置24h后,迅速倾取上清液,置具橡皮塞的棕色玻瓶中。

精密量取盐酸滴定液(0.05mol/L)25mL,加水50mL稀释后,加酚酞指示液数滴,进行滴定。根据滴定液的消耗量,算出样品液的浓度,即得。临用前应标定浓度。置橡皮塞的棕色玻璃瓶中,密塞保存。

1.2 0.05mol/LHCl标准溶液 量取4.5mL盐酸,加适量水稀释至1000mL。

1.3 酚酞溶液 1%乙醇溶液。

1.4 5%硫酸溶液 5mL浓硫酸加入95mL水中。

2.测定方法

称取样品0.3000g,置于三角烧瓶中,加入5%硫酸50mL在电炉上加热水解0.5h,冷却,用单层慢速定性滤纸过滤,用蒸馏水洗涤沉淀至pH7,再用95%乙醇50mL溶液沉淀;然后以酚酞指示剂,用0.05mol/L氢氧化钾-乙醇标准溶液滴定至粉红色,同时做一空白试验。

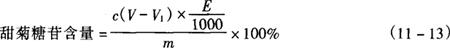
3.分析结果的表述

式中 c——氢氧化钾乙醇溶液的浓度,mol/L

V——氢氧化钾乙醇溶液消耗的毫升数,mL

V1——空白试验氢氧化钾乙醇溶液消耗的毫升数,mL

E——甜菊糖苷相对分子质量(804.86)

m——样品的质量,g

(二)比色法

1.原理

根据甜菊糖苷与蒽酮反应,在620nm有最大吸收。其含量与吸光度成正比,符合朗伯比尔定律。

2.试剂和溶液

2.1 无水乙醇。

2.2 0.3%蒽酮硫酸液(90%体积分数)。

2.3 甜菊糖苷标准溶液 精密称取甜菊糖苷标准品20mg,置10mL容量瓶中,用无水乙醇稀释至刻度,摇匀。吸取此液1.0mL置50mL容量瓶中,用无水乙醇稀释至刻度,摇匀,即得。

3.测定方法

3.1 标准曲线的绘制 精密量取标准液0.25mL,0.50mL,0.75mL,1.00mL,1.25mL与1.50mL分别置于试管中,加无水乙醇稀释至2mL,沿壁加0.3%蒽酮硫酸(90%V/V)溶液,置80℃水浴中,加热20min取出,立即放入冰浴中,在620nm波长处测定其吸光度,绘制标准曲线,如图11-3所示,从中看出浓度范围在每毫升含0.01~0.1mg甜菊糖苷时符合比尔定律。

3.2 样品测定 精密称取供试品适量(相当于甜菊糖苷20mg),置于10mL容量瓶中,用无水乙醇稀释至刻度,摇匀。精密量取1.0mL置50mL量瓶中,用无水乙醇稀释至刻度,摇匀。吸取2mL,按标准曲线绘制项下方法操作,测定吸收度,并根据标准曲线换算成甜菊糖苷的百分含量。

4.分析结果的表述

式中 m1——由标准曲线得到样品液中甜菊糖苷的含量,mg

m——样品质量,g

随便看

 

离鸟网收录3541549条中英文词条,其功能与新华字典、现代汉语词典、牛津高阶英汉词典等各类中英文词典类似,基本涵盖了全部常用中英文字词句的读音、释义及用法,是语言学习和写作的有利工具。

 

Copyright © 2004-2024 vtrois.com All Rights Reserved
更新时间:2026/4/6 20:44:46