网站首页  词典首页


请输入您要查询的字词:

 

字词 甜菊糖苷
类别 中英文字词句释义及详细解析
释义

甜菊糖苷


别名 甜菊糖

编码 GB 19.008

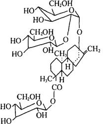
化学结构 甜菊糖是以相同的双萜配基构成的8种配糖体的混合物。主要组分(Stevioside)的结构式为:

C38H60O18 相对分子质量 804.86

性状 白色或微黄色粉末,易溶于水、乙醇和甲醇,不溶于苯、醚、氯仿等有机溶剂,味极甜,似蔗糖,略带后涩味,甜度约为蔗糖的200倍。在一般食品加工条件下,对热、酸、碱、盐稳定,在pH大于9或小于3时,长时间加热(100℃)会使之分解,甜味降低。具有非发酵性,仅有少数几种酶能使其水解。

制法 一般是用水从甜菊叶中抽提,经絮凝、过滤、吸附树脂提取,再经离子交换树脂脱盐、脱色而制得。

质量标准

毒理学依据

1.LD50 小鼠口服34.77g/kg(bw)。

2.NOEL 大鼠口服550mg/kg(bw)(日本)。

中国、日本对甜菊苷的毒性试验(包括急性、亚急性和慢性毒性试验)结果表明,无致畸、致突变及致癌性,摄入后以原形经粪便及尿排出体外。

使用 甜味剂。

使用范围及使用量

(1)我国《食品添加剂卫生标准》(GB 2760-1996)规定:甜菊糖可按生产需要适量用于糖果、糕点、饮料。

(2)实际使用参考:

①甜菊糖与蔗糖果糖或异构化糖混用时,可提高其甜度,改善口味。用甜菊糖代替30%左右的蔗糖时,效果较佳。一般用量为橘子水0.75g/L;果味露0.1g/L;冰淇淋0.5g/L。用20g甜菊糖代替3.2kg蔗糖制做鸡蛋面包,其外形、色泽、松软度均佳,且口感良好;用14.88kg代替0.75kg糖精钠制作话梅,香味可口,后味清凉。

②甜菊糖的热值仅为蔗糖的1/300,且在体内不参与新陈代谢,因而适合于制做糖尿病、肥胖症、心血管病患者食用的保健食品。用于糖果,还有防龋齿作用。

③近年来出现的高纯度Rebaudioside A(普通甜菊糖的第二主组分,甜度为蔗糖的400倍)制品及经酶转化的α-G-甜菊糖,口味更好,用于食品、饮料、效果更佳。

本品还可作为甘草苷的增甜剂。并往往与柠檬酸钠并用,以改进味质。

随便看

 

离鸟网收录3541549条中英文词条,其功能与新华字典、现代汉语词典、牛津高阶英汉词典等各类中英文词典类似,基本涵盖了全部常用中英文字词句的读音、释义及用法,是语言学习和写作的有利工具。

 

Copyright © 2004-2024 vtrois.com All Rights Reserved
更新时间:2026/4/9 7:50:08