网站首页  词典首页


请输入您要查询的字词:

 

字词 甜菜红
类别 中英文字词句释义及详细解析
释义

甜菜红


别名 甜菜根红

编码 GB 08.101;INS 162

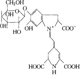
化学结构 本品主要着色成分为甜菜苷(betanine)

C24H26N2O13 相对分子质量 550.48

性状 由食用红甜菜(Beta vulgaris L.var rabra)的根(我国俗称紫菜头)制取的天然红色素,主要由红色的甜菜花青(betacyanines)和黄色的甜菜黄素(betaxanthines)组成(除色素外尚可有糖、盐和蛋白质等)。甜菜花青中的主要成分为甜菜苷(betanine),占红色素的75%~95%。甜菜红为紫红色粉末。易溶于水,微溶于乙醇,不溶于无水乙醇,水溶液呈红至红紫色,色泽鲜艳,在波长535nm附近有最大吸收峰。pH3.0~7.0时较稳定,pH4.0~5.0稳定性最好。在碱性条件下则呈黄色。染着性好,耐热性差。其降解速度随温度上升而迅速增快,pH5.0时,色素的半减期为1150±100min(25℃)、310±30min(50℃)、90±10min(75℃)和14.5±2min(100℃)。光和氧也可促进其降解。金属离子的影响一般较小,但如Fe3+,Cu2+含量高时可发生褐变。抗坏血酸对本品具有一定的保护作用。

制法 将红甜菜根榨汁或用水溶液抽提后,经进一步精制、浓缩、喷雾干燥制得。亦可将抽提液用离子交换树脂等处理后制成。

质量标准

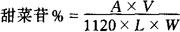
注:FAO甜菜红含量计算:

式中 A——最大吸光度(530nm)

V——试液体积(mL)

L——比色皿长度(cm)

W——样品质量(g)

1120——吸光系数

鉴别方法

1.溶解性 溶于水,不溶于无水乙醇。

2.呈色反应 向本品5mL水溶液中加氢氧化钠溶液(1+10)1mL,颜色由红或由紫变黄。

3.分光光度测定 甜菜苷在pH5.4水中,于波长530nm左右有吸收峰,在pH8.9时于545nm显示宽吸收峰。

4.薄层层析

(1)在纤维素板上(0.25mm)用索氏磷酸盐缓冲液(pH5.6)作溶剂,甜菜红产生许多不同颜色的斑点(黄、橙、红、紫红和紫)。甜菜苷为Rf值约0.7的紫红色斑点。

注:索氏磷酸盐缓冲液(pH5.6):取9.08gKH2PO4溶于水并稀释至1000mL(A液)。再取11.88gNa2HPO4·2H2O溶于水并稀释至1000mL(B液)。取A液94.8份与B液5.2份混合即成。

(2)在纤维素板上(0.10mm),以柠檬酸钠2g加水78.5mL、氨试液21.5mL作溶剂,甜菜苷追随溶剂前沿而与酸性水溶性合成色素不同,甜菜苷在此溶液中为黄色。

毒理学依据

1.LD50 大鼠口服大于10g/kg(bw)。

2.ADI 无需规定(FAO/WHO,1994)

使用 着色剂。

1.使用注意事项

(1)本品耐热性差,不宜用于高温加工的食品,最好用于冰淇淋等冷食。

(2)本品的稳定性随食品水分活性的增加而降低,故不适用于汽水、果汁等饮料。

(3)应用于婴幼儿食品的着色时,须严格控制硝酸盐含量。

2.使用范围及使用量 我国《食品添加剂使用卫生标准》(GB 2760-1996)规定:可用于各类食品,按生产需要适量使用。1997年增补品种规定,用于风味酸奶,最大使用最为0.8g/kg。

随便看

 

离鸟网收录3541549条中英文词条,其功能与新华字典、现代汉语词典、牛津高阶英汉词典等各类中英文词典类似,基本涵盖了全部常用中英文字词句的读音、释义及用法,是语言学习和写作的有利工具。

 

Copyright © 2004-2024 vtrois.com All Rights Reserved
更新时间:2026/4/7 14:08:42