网站首页  词典首页


请输入您要查询的字词:

 

字词 用冷参数及冷负荷计算
类别 中英文字词句释义及详细解析
释义

用冷参数及冷负荷计算


1.室外计算参数的确定

(1)室外计算温度 计算夏季通过冷藏库围护结构的传入热量时,一般可按《工业企业采暖通风和空气调节设计规范》(GBJ19),选用近10年中平均每年不保证5d的日平均干球温度作为夏季室外计算温度。

(2)室外计算相对湿度 可按《工业企业采暖通风和空气调节设计规范》中规定的最热月平均相对湿度。

2.冷藏库耗冷量的计算

冷藏库耗冷量的计算,其目的在于正确合理地确定各库房的冷分配设备负荷及制冷机负荷。冷库的耗冷量在一年四季中并不是恒定不变的,其大小受到室外气温、冷冻或冷却货物的进货量以及操作管理方式等等因素的影响。因此,在一般情况下,先计算各种耗冷量的最大值,然后在确定库房冷分配设备负荷及制冷机负荷时,再根据不同情况对某些耗冷量乘以不同的修正系数。

(1)冷库库房冷分配设备总冷量负荷Q

QK=Q1+PQ2+Q3+Q4(W)

式中 Q1——围护结构传热而引起的耗冷量,是通过围护结构所传导的热量,W

Q2——食品含热的耗冷量,即冷却、冻结、再冻结和贮存食品时其本身在冷加工过程中的耗冷量,W

Q3——库房内通风、换气耗冷量,为库房在贮存某些食品进行新鲜空气更换时及生产车间进行空气调节时由新鲜空气带入热量而引起的耗冷量,W

Q4——操作管理的耗冷量,指在库房内的电动机、照明用灯发出的热能和库门开启、操作工人、操作设备产生的热量而引起的耗冷量,W

P——冷却或冷冻加工的负荷系数,此系数考虑到食品初期冷冻时热负荷较大的因素,一般冷却或冻结时取P=1.3,其他冷藏间取P=1

①围护结构传热而引起的耗冷量Q1

Q1=qa·A(W)

式中 Q1——通过墙面、中间层的楼地板及屋顶的热负荷,W

qa——围护结构的单位传热量,W/m2,一般取12~14W/m2

A——围护结构的传热面积,m2

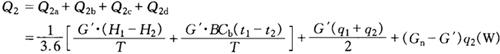
②食品冷冻加工和贮存时的耗冷量,Q2

式中 Q2a——食品热量,W

Q2b——包装材料和运载工具热量,W

Q2。——食品冷却时的呼吸热,W

Q2d——食品冷藏时呼吸热,W

G′——冷间每日进货量,kg

H1——食品进入冷间初始温度时的热焓值,kJ/kg,见表6-7-59

表6-7-59 食品的热焓值表 单位:kJ/kg

H2——食品在冷间内终止降温时的热焓值,kJ/kg,见表6-7-59

T——货物冷却时间,h,对冷藏间取24h,对冷却间、冻结间取设计加工时间

B——货物包装材料重量系数,见表6-7-60

表6-7-60 货物包装材料重量系数表

t1,t2——食品入库、出库时包装材料的温度,℃

Cb——包装材料和运载工具的比热容,kJ/(kg·℃),见表6-7-61

表6-7-61 包装材料或运载工具的比热容表

q1——货物冷却初始温度时的呼吸热量,kJ/kg,见表6-7-62

表6-7-62 一些主要水果与蔬菜的呼吸热

注:表中抱子甘蓝又称嫩芽卷心菜,青豆又称四季豆。

q2——货物冷却终止温度时的呼吸热量,kJ/kg,见表6-7-62

Gn——冷藏间冷藏量,kg

——1kJ/h换算成1W的数值

注:鲜水果、鲜蔬菜在降温和贮藏过程中有呼吸热需要计算Q2。、Q2d

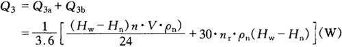
③库房内通风、换气的耗冷量Q3

式中 Q3a——货物的通风换气耗冷量,W

Q3b——操作人员的通风换气耗冷量,W

n——每昼夜更换新鲜空气的次数,一般可采用2~3次

V——该库房的内净容积,m3

ρn——该库房的空气密度,kg/m3,见表6-7-63

表6-7-63 干空气在压力为101.325kPa时对传热有影响的物理参数

Hw,Hn—-库外、库内空气的热焓值,kJ/kg,见表6-7-64

表6-7-64 空气的热焓量H(-20~40℃,101.325kPa)

24——每昼夜该库更换新鲜空气的通风运转时间,h

30——每小时需供给每个操作工人的新鲜空气量,m3/h

n——在该库操作工人的人数

——1kJ/h换算成1W的数值

注:通风换气热量只适用于贮存有呼吸的食品的冷藏间,有操作人员长期停留的冷间如加工间、包装间应计算操作人员需要新鲜空气的热量Q3b

④库房操作管理的耗冷量Q4

式中 Q4a——库房照明耗冷量,W

Q4b——电动机运转耗冷量,W

Q4c——库房门扇开启耗冷量,W

Q4d——库房操作工人耗冷量,W

qd——库房单位面积由照明的电能转化为热能而引起的耗冷量(W/m2),冷库库房内一般照明标准为3W/m2,并采用同期使用系数0.35,库房用作生产车间的,其照明标准为7.5W/m2,并采用0.6的同期使用系数。

A——库房地坪面积,m2

n1——安装系数(电动设备实耗轴功率与安装功率之比),一般取0.7左右

n2——同时使用系数(库房内同时使用的安装功率与总安装功率之比)

N——电动设备功率,W

η——电动机效率,一般取0.7~0.9

qm——库门每天开启1h的耗冷量,W,见表6-7-65

表6-7-65 库门每天开启1h的耗冷量qm 单位:W

注:φw=60%。

Z——库房使用系数,即每天许可库门开启时间,h,见表6-7-66

表6-7-66 库房使用系数Z值

Ni——各种条件系数,具备几个条件者Ni应连乘,见表6-7-67

表6-7-67 各种条件系数Ni

注:具备几个条件者,N值应连乘。

qr——每个操作工人单位时间内产生的人体平均散热量,W,见表6-7-68

表6-7-68 人体每小时平均散热量qr

n——该库房内同期周期操作人员数

(2)制冷机的总负荷Qi

制冷机的负荷是选用整个冷库制冷机时所需的制冷能力,需要适应冷库全年生产的要求,特别是应能满足冷库生产高峰负荷的需要。

Qi=∑(mQ1+Q2+Q3+nQ4)R(W)

式中 Q1——围护结构传热而引起的耗冷量,是通过围护结构所传导的热量,W

Q2——食品含热的耗冷量,即冷却、冻结、再冻结和贮存食品时其本身在冷加工过程中的耗冷量,W

Q3——库房内通风、换气耗冷量,为库房在贮存某些食品进行新鲜空气更换时及生产车间进行空气调节时由新鲜空气带入热量而引起的耗冷量,W

Q4——操作管理的耗冷量,指在库房内的电动机,照明用灯发出的热能和库门开启、操作工人、操作设备产生的热量而引起的耗冷量,W

m——为Q1的修正系数,见表6-7-69

表6-7-69 围护结构耗冷量(Q1)的修正系数m

n——为库房的周期操作管理系数,与库房性能和库房面积有关,冷却间、冻结间和操作出入频繁的库房,n=75%,冷藏间库房面积<100m2,n=75%,冷藏间库房面积≥100m2,n=50%

R——制冷装置管路等冷损耗系数,一般直接冷却系统R=1.07,盐水冷却系统R=1.12

3.生产工艺冷负荷计算

生产工艺冷负荷主要集中在物料的冷却过程中,如糖浆和饮料用水的冷却,使用设备多为各种型式的板式热交换器,冷负荷的计算一般由工艺专业的技术人员提出,制冷专业予以复核。

4.空调冷负荷计算

空调冷负荷主要为灌装间、化验品控间、调配间和办公区域等建筑物的空气调节,计算方法类似冷库的冷负荷计算,可具体参照采暖通风设计手册。

随便看

 

离鸟网收录3541549条中英文词条,其功能与新华字典、现代汉语词典、牛津高阶英汉词典等各类中英文词典类似,基本涵盖了全部常用中英文字词句的读音、释义及用法,是语言学习和写作的有利工具。

 

Copyright © 2004-2024 vtrois.com All Rights Reserved
更新时间:2026/4/9 3:36:16