网站首页  词典首页


请输入您要查询的字词:

 

字词 用盈亏临界分析法测算企业经营状态
类别 中英文字词句释义及详细解析
释义

用盈亏临界分析法测算企业经营状态


某市聚氯乙烯树脂厂是大批量生产单一产品-聚氯乙烯树脂的企业,运用盈亏临界分析法(又称损益分析法)是十分适用的。

一、测算盈亏临界点(保本点)

收集、整理全厂一九八三年有关的实际数据如下:

平均每月总固定成本记为A:A=15.5(万元/月)

全年平均每吨乙烯树脂的变动成本记为B1:B1=1134(元/吨)

全年平均每吨聚氯乙烯树脂的销售价记为:B0:B0=1864(元/吨)除去10%的营业税和1%的管理费后,每吨聚氯乙烯树脂的销售收入记为B2:B2=B0×(1-10%-1%)=1864×0.89=1659(元/吨)

设x为聚氯乙烯树脂月产量(吨/月)

y1为平均每月产品总成本(元/月)

y2为平均每月产品总销售收入(元/月)

则: y1=A+B1x=155000+1134x

Y2=B2X=1659x

对于临界点X0点,存在着如下关系式:即

y1=y2

A+B1X0=B2X0

即说明每月必须安排生产和销售295吨聚氯乙烯树脂才能使全厂该月不发生亏损,全年必须安排生产和销售295×12=3,540吨聚氯乙烯树脂才能保持全厂不亏不盈的状态。

二、判断经营安全状态

企业的经营安全状态,可以根据经营安全率的大小来判断。判断标准一般如下表:

经营安全率η(%)的计算公式:

(1)

式中:x0为临界月产量(吨/月);Xmax为最大月产量(吨/月)。

Xmax为最大月产量(吨)月。

该厂聚氯乙烯树脂生产装置的设计能力为6000吨/年,平均月生产能力为:

将x0=295(吨/月)、xmax=500(吨/月)

因为由计算得到η=41%>30%,所以可以认为在目前市场状态下,这个厂的经营状态是安全的。

三、1983年度计划的预测

上级下达该厂1983年的利润指标为112万元,为了达到这个指标,1983年聚氯乙烯树指的产量和销售量的计划安排,也可以用盈亏临界分析法测算。

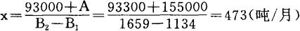
因为全年利润指标为112万元,则每月平无要完成利润指标为=9.33万元。盈利为:

⊿y=y2-y1

即B2x-(A+B1x)=93300(元)

计算结果表明,要完成全年利润112万元的指标,在市场情况、生产成本基本同于1982年的情况下,1983年平均每月必须安排生产和销售473吨聚氯乙烯树脂,全年必须生产和销售473×13=5676吨聚氯乙烯树指。

四、预测产品成本和销售价格变动对生产经营状态的影响

产品成本和销售价格的变动将直接影响生产经营状态。目前,该厂采用电厂法工艺生产聚氯乙烯树脂,需要消耗大量的电、焦、煤。随着国家能源的日趋紧张,能源价格调整,产品变动成本和产品总成本也将随之发生较大变化,对生产经营状态的影响极大。利用盈亏临界分1析法,可以预测在满负荷生产情况下,要使全厂不发生亏损,产品的变动成本的最高极限值B1max

全厂不发生亏损时,⊿y=0,即y1=y2则存在关系式:

表明当能源价格上调,产品变动成本达到1349(元/吨)以上时,即使现有生产装置满负荷生产,全厂仍将发生亏损。

若变动成本基本不变,而销售价格下降,也可用盈亏临界法来预测保持全厂不发生亏损损的最低销售价B0min

即由y1=y2导出关系式:

表明若生产变动成本保持不变,在满负荷生产情况下,即使销售价格下降到平均每吨1,622元,全厂仍能保持不亏损。

同样,如果生产成本和销售价格同时发生变化,仍然可以用与上述类似的方法,预测生产经营状态的变化,以作为制定企业决策的依据。

五、预测企业的最大经济效益

若一九八三年生产成本与销售价格基本保持1982年的水平,则生产装置满负荷生产,也就是企业1983年的月最高利润值为

⊿ymax=(y2-y1)Xmax=B2Xmax-A+B1Xmax=1659×500-155000-1134×500=107500元/月

全年则为129万元。

以上运用的临界盈亏分析,都是基于产销平衡的情况,基于1982年的市场情况及该厂现有生产水平进行的。

在进行盈亏临界分析时,如果综合考虑到主观因素发生的影响,如:加强管理,减少企业管理费用;进行技术改造,降低产品消耗;挖掘潜力,提高生产装置的生产能力;提高产品质量,改变产品品种,增加销售收入等等,则分析会更加全面,预测也会更加准确。

随便看

 

离鸟网收录3541549条中英文词条,其功能与新华字典、现代汉语词典、牛津高阶英汉词典等各类中英文词典类似,基本涵盖了全部常用中英文字词句的读音、释义及用法,是语言学习和写作的有利工具。

 

Copyright © 2004-2024 vtrois.com All Rights Reserved
更新时间:2026/4/9 11:26:14