网站首页  词典首页


请输入您要查询的字词:

 

字词 甲基葡萄糖苷硬脂酸酯
类别 中英文字词句释义及详细解析
释义

甲基葡萄糖苷硬脂酸酯


别名 MS

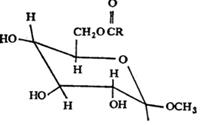
结构式

性能 由甲基葡萄糖苷与倍半分子硬脂酸酯化而制得,具有较强的乳化性能。不溶于水,是优良的油包水型乳液的乳化剂,配伍性好。HLB为6。

用途 用作油包水型膏霜或乳液的主乳化剂。

包装 硬纸箱内衬塑料袋装。

国内生产厂 江苏昆山石牌化工厂、上海日化研究所。

随便看

 

离鸟网收录3541549条中英文词条,其功能与新华字典、现代汉语词典、牛津高阶英汉词典等各类中英文词典类似,基本涵盖了全部常用中英文字词句的读音、释义及用法,是语言学习和写作的有利工具。

 

Copyright © 2004-2024 vtrois.com All Rights Reserved
更新时间:2026/4/9 8:28:46