网站首页  词典首页


请输入您要查询的字词:

 

字词 甲酸香茅酯
类别 中英文字词句释义及详细解析
释义

甲酸香茅酯


别名 甲酸3,7-二甲基-6-辛烯-1-醇酯

编码 GB I1388;FEMA 2314

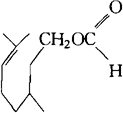
化学结构

C11H20O2 相对分子质量 184.28

性状 无色油状液体,沸点235℃,闪点92℃。不溶于水,易溶于乙醇中。

制法 以香茅醇和甲酸直接酯化制得。

质量标准

鉴别方法

(1)取本品1mL,加10%氢氧化钾乙醇试液10mL,在水浴中边摇混边加热5min时,其特有的香气消失,产生香茅醇香气。

(2)采用“甲酸香叶酯”的鉴别试验(2)。

毒理学依据

GRAS FEMA 2314;FDA 172.515。

使用

使用范围及使用量

(1)我国《食品添加剂使用卫生标准》(GB 2760-1996)规定:可按生产需要适量用于配制各种食品香精。

(2)FEMA规定:最高参考用量为软饮料,14mg/kg;冰淇淋、冰制食品,13mg/kg;糖果,19mg/kg;焙烤食品,32mg/kg;口香糖,63~100mg/kg。

(3)实际使用参考:在食用香精中应用,可与兔耳草醛同用于黄瓜等香型。用于蜜香型,可使苯乙酸气清鲜。苹果、杏子、甜橙、桃子、梅子、李子等香精都可应用。

随便看

 

离鸟网收录3541549条中英文词条,其功能与新华字典、现代汉语词典、牛津高阶英汉词典等各类中英文词典类似,基本涵盖了全部常用中英文字词句的读音、释义及用法,是语言学习和写作的有利工具。

 

Copyright © 2004-2024 vtrois.com All Rights Reserved
更新时间:2026/4/8 3:28:16