网站首页  词典首页


请输入您要查询的字词:

 

字词 电容传声器互易技术压力校准
类别 中英文字词句释义及详细解析
释义

电容传声器互易技术压力校准


互易法校准,是利用声电可逆性原理评估换能器的一种绝对校准方法。此方法也可用于校准标准水听器等其它换能器。

一个线性、无源的传声器,在给定频率时,令:P为膜片上的声压;U为传声器电端的电压;q为膜片的体积速度;i为通过电端的电流,则存在以下关系:

式中:Z11——膜片钳定时传声器的电阻抗;

Z22——电端无载时传声器的声阻抗;

Z12、Z21——电声转换系数。

若Z12=±Z21,则称该传声器为互易传声器。

作为实验室标准的电容传声器可以认为是互易的,式11.4-8可改写为:

式中,Ze=Z11;Za=Z22;Z12=±Z21=MpZa

传声器的互易校准采用三只传声器,其中二只必须是互易的;也可以采用一个辅助声源与二只传声器,其中之一必须是互易的。

声压灵敏度分别为Mp(a)与Mp(b)的传声器(a)与(b)由耦合腔作声耦合。根据以上互易方程有

通过传声器(a)的电端的电流ia产生短路体积速度Mp(a)ia(在膜片上p=0),因此在传声器(b)的声端的声压为pb=ZabMp(a)ia。Zab为系统的声转换阻抗。于是传声器(b)的开路电压为

Ub=Mp(b)pb=Mp(a)Mp(b)Zabia (11.4-11)

最后得两传声器的声压灵敏度的乘积为

声转换阻抗

可由图11.4-12的等效电路算出分别为传声器(a)与(b)的声阻抗,在许多情况下,Zab可通过理论计算求得。

图11.4-12 计算声转换阻抗Zab的等效电路

假定耦合腔内任意点声压相同(当耦合腔的物理尺寸远小于声波波长时可成立),同时耦合腔只起纯声顺的作用,由图11.4-13的等效电路可给出Zab

图11.4-13 耦合腔尺寸小于波长时的等效电路

式中 V——耦合腔的几何体积;

Ve(a)——传声器(a)的等效体积;

Ve(b)——传声器(b)的等效体积;

Vab——V+Ve(a)+Ve(b)的实数部分;——耦合腔本身的声阻抗。

在高频,当腔体线度不小于波长时,Zab的量变得很复杂。但若耦合腔体为圆柱形且其直径与传声器尺寸相同时,则在假定为平面波的频率,整个系统可看成一均匀传输线,此时Zab可由下式给出:

式中 Z=ρc/S;

ρ:耦合腔内空气密度;

c:耦合腔内空气中声速;

S:耦合腔横截面;

Y:=α+jβ:传播系数;

l0:耦合腔长,即两传声器膜片间距离。

当β(le(a)+le(b))值很小,且声系统中的损耗可略去不计时,式(11.4-14)可近似为

式中 le(a)=Ve(a)/S;

le(b)=Ve(b)/S;

lab=l0+le(a)+le(b)

关于热传导修正

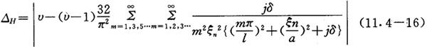
以上Zab表达式计算中,假定在耦合腔中的声传播过程为绝热过程。但在低频,有足够时间存在声能至热能的转变,因此等温过程占主要地位。对于半径为a、长为l的圆柱形腔,假定腔壁为热的良导体,并保持在恒定温度,可得修正值为:

式中

cp:定压比热;

κ:空气热传导率;

ξ:J0(ξ)=0的正根。

关于毛细管修正

为了取得耦合腔内外的气压平衡,在腔壁具有两个毛细管。此管也可用作向腔内充灌不同于大气成分的气体。

在低频,腔的声阻抗很高,必须考虑两根毛细管的短路效应。对于平行的等长等直径的毛细管其阻抗为:

式中 l:各毛细管的长度;

r:各毛细管的半径;

η:空气的粘滞系数。

得热传导修正系数为:

经过以上两项修正,并以1V/(N·m-2)为参考的dB表示,各量均用国际单位制后,得到用三只传声器法的灵敏度表达式为:

(此式指传声器a,其它二传声器仿此。)

同样,也可以得到用二只传声器和一个辅助声源法的灵敏度表示式为:

除以上两项修正量之外,其它的参量也将影响传声器互易校准的准确度,因此必须进行精确的测定,目前的国际标准给出以下要求:

极化电压:0.05%;

大气压力:0.10%;

频率:0.1%;

电转换阻抗Rab:0.1%;

热传导修正ΔH:0.1%;

毛细管修正Δc:0.1%;

耦合腔横截面S:0.2%;

耦合腔有效长度lab:0.3%;

耦合腔有效体积Vab:0.3%;

耦合腔与传声器温度:1℃;

膜片上的压力分布:±0.1dB;

声损耗:βlab≤2。

以上各量的准确度满足以后,耦合腔互易校准总的准确度在中低频可达到0.05dB,在10kHz可达0.1dB。

【参考文献】:

[1]IEC—327,Precision method for pressure calibration or one—inch standard condenser microphones by the reciprocity technique. 1971.

[2]1EC—486,Precision method for free—field calibration of one inch standard condenser microphones by reciprocity technique, 1974.

[3]IEC—150.Testing and calibration of ultrasonic therapeutic equipment, 1963.

[4]GB 3223-82,水声换能器的自由场互易校准

[5]GB 3785-83,声级计的电,声性能及测量方法

[6]GB 7341-87,听力计

[7]GB 7614-87,校准测听耳机用宽频带型仿真耳

[8]GB 7342-87,测听耳机校准用IEC临时参考耦合腔

[9]OIML R102,声校准器

[10]JJG 188-90,声级计

[11]JJG 698-90,积分声级计

[12]标准电容传声器有关国家标准及检定规程

[13]JJG 388-85,听力计

随便看

 

离鸟网收录3541549条中英文词条,其功能与新华字典、现代汉语词典、牛津高阶英汉词典等各类中英文词典类似,基本涵盖了全部常用中英文字词句的读音、释义及用法,是语言学习和写作的有利工具。

 

Copyright © 2004-2024 vtrois.com All Rights Reserved
更新时间:2026/4/9 9:23:47