网站首页  词典首页


请输入您要查询的字词:

 

字词 电瓷工厂工艺计算实例(1984年收集)
类别 中英文字词句释义及详细解析
释义

电瓷工厂工艺计算实例(1984年收集)


(一)生产纲领及各工序加工量的计算(表6-36)

表6-36 电瓷工艺加工量的计算

(二)主要设备实际利用率的计算

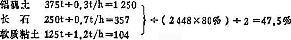
1.轮辗机

(1)湿碾机:

(选用二台一班制生产)

(2)干碾机:

(选用二台一班制生产)

2.球磨机

新料1250t÷3.2t÷(306×90%×2)=71%(选用二台三班制生产)

3.榨泥机

泥料3900t÷(1.3×3×2)÷(306×95%×4)=43%(四台二班制)

4.悬式产品真空练泥机

166768只÷400只/h÷2280=18.3%(一台一班)

5.旋坯机、修坯机

166768只÷350只/班÷(306×2)=78%(各一台二班制)

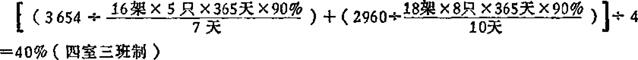
6.链式阴干机

7.链式干燥室

8.套管真空练泥机

(2046÷24+1608÷32)÷2380=5.7%(一台一班)

9.棒型真空练泥机

2960÷20÷2380=6.2%(一台一班)

10.套管横修机

(2046+1608)÷20÷306÷2=30%(二台一班)

11.仿型修坯机

2960÷30÷306=32.2%(一台一班)

12.室内干燥室

随便看

 

离鸟网收录3541549条中英文词条,其功能与新华字典、现代汉语词典、牛津高阶英汉词典等各类中英文词典类似,基本涵盖了全部常用中英文字词句的读音、释义及用法,是语言学习和写作的有利工具。

 

Copyright © 2004-2024 vtrois.com All Rights Reserved
更新时间:2026/4/8 21:38:33