网站首页  词典首页


请输入您要查询的字词:

 

字词 盐泵输送盐浆扬程的确定
类别 中英文字词句释义及详细解析
释义

盐泵输送盐浆扬程的确定


按照采盐机(船)既定的生产量和一定的盐浆体积浓度(10~20%),确定盐泵的流量,再按下式计算所需泵的总扬程(总压头):

H=h1+h2+h3+h4+h5+h6+h7 (4-4-22)

式中 H——泵的总扬程

h1——吸盐的压头损耗

h2——提升盐浆至水面的压头损耗

h3——把盐浆从水面提升至盐泵轴中心线的压头损耗

h4——由摩擦造成的吸盐管压头损耗

h5——盐浆从吸管转至排管时提高速度所需的压头损耗。

h6——把盐浆从盐泵轴中心线提升至排水平面的压头损耗

h7——由摩擦造成的输盐管压头损耗

上述7项中的前4项是吸入部分损耗的总和,后3项则是输盐管排出部分损耗的总和。各项单位均以“mH2O”表示。

(一)吸入部分的损耗

1.h1的计算 h1取决于盐浆本身由静止状态变为运动状态时所具备的动能,即:

式中 h1′——吸入速度压头

h1″——盐浆通过吸盐口时由摩擦和涡流所造成的压头损耗

——与吸盐口(耙盐头)的形状和尺寸有关的系数,一般取为0.4~0.5

γm——盐浆密度(kg/m3)

Vs——吸盐管内盐浆流速(m/s)

g——重力加速度(9.81m/s2)

当Vs值选取适当、吸盐口处均匀增速、盐层已预先疏松时,h1值均为1~1.5mH2O。若盐层未经预先疏松,该值可达2.5~3.5mH2O。

2.h2的计算h2取决于吸深(Hs)和盐浆密度(γm),即:

式中 γw——卤水密度,一般为1.22kg/m3

n——盐浆稀释程度,即盐浆中含水的份数(体积比)

γ2——盐矿石的真密度,为2.14kg/m3

γm——一般为1.24~1.39kg/m3

3.h3的计算

h3=Hpw· (4-4-28)

式中 Hpw——盐泵中心离水面高度

为了改善吸盐条件,尽可能将盐泵布置在水面以下。在计算Hpw时,采盐船吃水深度应取最小值。

4.h4的计算

式中 Ls——吸盐管总长(m)

Ds——吸盐管直径(m)

ξc——吸盐管挠性接头的压头损耗系数

λs——盐浆在吸盐管中的摩擦系数

吸盐管长度一般为8~11m。盐泵应尽量安装在船首部,以免吸管过长;

吸盐管直径应稍大于输盐排出管直径,即Ds=1.1D,并圆整到25的倍数;

吸盐管挠性接头的压头损耗系数,如果是球型接头,应为0.02~0.04,管径大者取小值;

盐浆在吸盐管中的摩擦系数λs=λ γm,λ为卤水阻力系数,当盐浆浓度为10%~20%时,λs=0.027~0.035;

即盐泵的真空吸高,它不能超过盐泵本身的允许吸上真空度;在海拔1000

以上的地区还应考虑大气压的影响。一般情况下,Hbmax=≤6~7(mH2O)

如果Hbmax的计算结果大于6~7mH2O,需修改计算的已知条件,以避免汽蚀现象。修改方法是适当增加吸管直径Ds和减小吸管内的盐浆浓度。

(二)排出部分的损耗

1.h5的计算

式中 V——输盐管的盐浆流速,一般大于吸盐管内的盐浆流速Vs

由生产实践中测得,V=2.5~3.5m/s

2.h6的计算

h6=(Hpo-Hpw)·γm (4-4-31)

式中 Hpo——输盐管出口中心距水面的高度(m)

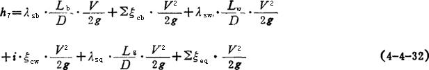
3.h7的计算

式中 Lb、Lw、Lg——分别为采盐机(船)上的、水上的、陆上的输盐管长度(m)

λsb、λsw、λsg——分别为上述管路中的摩擦损耗系数

Σξeb——采盐机(船)上输盐管中局部阻力损失系数总和

ξew——挠性接头损失系数

Σξcg——陆上输盐管局部阻力损失系数总和

i——水上输盐管挠性接头的数量

ξeb的取值:格栅,ξcb=2;无圆角、直角弯,闸阀,ξeb=0.6;耙头,ξeb=2.3;弯管,ξeb=〔0.26+0.32()3.5〕· (4-4-33)

式中: R——弯管中心线的曲率半径(m)

α——弯曲角度

ξewcb

实践证明,装有挠性接头的水上管路的阻力,要比同样长度的陆上固定管路的阻力更大。

随便看

 

离鸟网收录3541549条中英文词条,其功能与新华字典、现代汉语词典、牛津高阶英汉词典等各类中英文词典类似,基本涵盖了全部常用中英文字词句的读音、释义及用法,是语言学习和写作的有利工具。

 

Copyright © 2004-2024 vtrois.com All Rights Reserved
更新时间:2026/4/7 11:42:20