网站首页  词典首页


请输入您要查询的字词:

 

字词 直接红棕RN
类别 中英文字词句释义及详细解析
释义

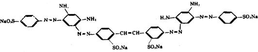
直接红棕RN


【结构式】

【功能与特点】 深棕色粉末。易溶于水,对硬水有良好稳定性,染色时无凝聚现象。

【用途和用法】 可用于皮革染色。

【使用注意事项】 防止曝晒、受热受潮。

【主要生产厂家】 天津染化三厂和吉林第三化工厂。

随便看

 

离鸟网收录3541549条中英文词条,其功能与新华字典、现代汉语词典、牛津高阶英汉词典等各类中英文词典类似,基本涵盖了全部常用中英文字词句的读音、释义及用法,是语言学习和写作的有利工具。

 

Copyright © 2004-2024 vtrois.com All Rights Reserved
更新时间:2026/4/5 14:09:11