网站首页  词典首页


请输入您要查询的字词:

 

字词 直接铜盐蓝2R
类别 中英文字词句释义及详细解析
释义

直接铜盐蓝2R


【别名】 直接铜盐蓝KM、2R,直接铜蓝BB,直接藏青B。

【国外相应商品名】

Benzo Copper Blue CVBS(BAY)

Diacotton Copper Blue BB(MCI)

Metadiazol Blue CV(Fran)

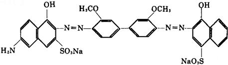
【结构式】

【产品质量标准】 企业标准(天津染化四厂等)。

外观: 蓝黑色均匀粉末

色光: 与标准品近似

强度: 为标准品100±±3

水分含量: ≤5%

不溶于水的杂质含量: ≤1%

细度(通过80目筛残余物含量): ≤5%

在棉织物上的染色坚牢度:符合标准品

【功能与特点】 溶于水后呈蓝光紫色溶液,尚易溶于乙醇中呈红紫色。遇浓硫酸呈翠兰色,稀释后呈紫色。它的水溶液遇浓盐酸呈紫色沉淀,加浓氢氧化钠液呈红紫色至酒红色。对纤维素纤维染色,染料吸尽性很好,温度在100℃亲合力最大。拨染性好。染色时用硫酸铜后处理能提高耐晒牢度。用甲醛后处理能提高其水洗牢度。

【用途和用法】 可用于皮革染色。

【使用注意事项】 防止曝晒、受热受潮。

【主要生产厂家】 天津染化四厂,天津染化九厂,上海染化一厂,天津亚中化工厂等。

随便看

 

离鸟网收录3541549条中英文词条,其功能与新华字典、现代汉语词典、牛津高阶英汉词典等各类中英文词典类似,基本涵盖了全部常用中英文字词句的读音、释义及用法,是语言学习和写作的有利工具。

 

Copyright © 2004-2024 vtrois.com All Rights Reserved
更新时间:2026/4/5 14:13:28