网站首页  词典首页


请输入您要查询的字词:

 

字词 直流电路
类别 中英文字词句释义及详细解析
释义

直流电路


1.电路

电流通过的途径叫电路。

电气元件或电气设备用国家标准统一规定的图形及文字符号,按一定的连接关系绘制的图形叫电路图,如图2-1所示。

图2-1 电路图

电路一般由电源、负载、开关和连接导线4个基本部分组成。

电源是把非电能转换成电能的装置,如干电池、发电机等。

负载是把电能转换成其他形式能量的装置,如电灯、电动机等。

开关是接通或断开电路的控制元件,如刀开关、自动空气开关等。

连接导线把电源、负载及开关连接起来,组成一个闭合回路,起传输和分配电能的作用。

电路通常有通路、开路及短路三种状态。

通路:电路构成闭合回路,电路中有电流流过。

开路:电路断开,电路中无电流通过,开路又称为断路。

短路:短路是电源未经负载而直接由导体构成闭合回路。短路时电源输出的电流比允许的通路工作电流大很多倍,电源损耗大量的能量。一般不允许短路。当然短路状态也可以应用,如保护接零时,使电路形成短路,导致保护电器动作而切断电源,达到保护人身安全的目的。

2.电路中的几个物理量

(1)电流

电荷有规则地定向移动称作电流。

电流的大小取决于在一定时间内通过导体横截面电荷量的多少。电流用符号I表示,其数学表达式为:

式中 Q——电荷量(库仑,用符号C表示);

t——时间(秒,用符号s表示);

I——电流(安培,用符号A表示)。

常用的电流单位还有千安(kA),毫安(mA)和微安(μA)。换算关系如下:

1kA=103A

1mA=10-3A

1μA=10-3mA=10-6A

电流不仅有大小,而且有方向,习惯上规定以正电荷移动的方向为电流的方向。导体中移动的是电子,电子是负电荷,所以电子流的方向与电流方向相反。

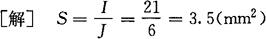
(2)电流密度

当电流在导体的截面上均匀分布时,该电流与导体横截面积的比值为电流密度。用字母J表示,其数学表达式为:

式中 I——电流(A);

S——横截面积(平方毫米,用mm2表示);

J——电流密度(A/mm2)。

[例2-1] 某照明电路需要通21A的电流,问应采用多粗的铜导线?(设J=6A/mm2)

(3)电压

电压又称电位差,是衡量电场力做功本领大小的物理量。如图2-2所示,在电场中若电场力将点电荷Q从A点移动到B点,所做的功为WAB,则功WAB与电荷Q的比值就称为该两点之间的电压。电压用符号U表示,其数学表达式为:

图2-2 电场力做功

式中 U——电压(伏特,用符号V表示);

WAB——功(焦耳,用符号J表示);

Q——电荷量(C)。

常用的电压单位还有千伏(kV),毫伏(mV)和微伏(μV)。换算关系如下:

1kV=103V

1mV=10-3V

1μV=10-3mV=10-6V

电压亦有方向,即有正负。对于负载来说,规定电流流进端为电压的正端,电流流出端为电压的负端,电压的方向由正指向负。

电压的方向在电路图中有两种表示方法,一种用箭头表示,如图2-3(a);另一种用正(+)负(-)极性符号表示,如图2-3(b)。

图2-3 电压的方向

(4)电动势

电动势是衡量电源将非电能转换成电能本领的物理量。电动势的定义为:在电源内部外力将单位正电荷从电源的负极移动到电源正极所做的功。电动势用符号E表示,其数学表达式为:

电动势的单位与电压相同,也是伏特(V)。

电动势的方向规定是:在电源内部由负极指向正极。电源中的电流与电动势同向。

对于一个电源来说,既有电动势,又有端电压。电动势只存在于电源内部;而端电压则是电源加在外电路两端的电压,其方向由正极指向负极。电源开路时,电源的端电压与电源的电动势相等。

(5)电压源

具有不变的电动势和较低内阻的电源称为电压源。

把具有不变电动势且内阻为零的电源称为理想电压源,简称恒压源。恒压源的代表符号如图2-4所示。

图2-4 理想电压源

电压源可等效为理想电压源E和内阻R0的串联,如图2-5所示。

图2-5 电压源定义为理想电压源E和内阻R0的串联

一般用电设备所需的电源,多数需要输出较为稳定的电压,要求电源的内阻越小越好,即要求实际电源的特性与理想电压源尽量接近。

(6)电流源

把内阻无限大,能输出恒定电流Is的电源称为理想电流源或称恒流源。恒流源输出的恒定电流Is称为电激流。恒流源的代表符号如图2-6所示。

图2-6 理想电流源

把电激流为Is的恒流源与内阻R0并联的电路定义为电流源,如图2-7所示。

图2-7 电流源定义为理想电流源Is与内阻R0并联

晶体三极管工作于放大状态时,就接近于恒流源。

(7)电阻

导体对电流的阻碍作用称为电阻,用符号R表示。电阻的单位为欧姆,简称欧,用符号Ω表示。常用的电阻单位还有千欧(kΩ)、兆欧(MΩ),换算关系如下:

1kΩ=103Ω

1MΩ=103kΩ=106Ω

导体的电阻是客观存在的,即使没有外加电压,导体仍有电阻。金属导体的电阻大小与其几何尺寸及材料性质有关,可按下式计算:

式中 R——电阻(Ω);

l——长度(米,用符号m表示);

S——横截面积(mm2);

ρ——电阻率(欧米,用符号Ω·m表示)。

电阻还与温度有关,金属导体的电阻随温度升高而增大;而碳的电阻却随温度升高而减小。

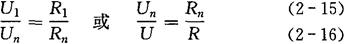
3.欧姆定律

(1)部分电路欧姆定律

在不包含电源的电路中,如图2-8所示,流过导体的电流与这段导体两端的电压成正比,与导体的电阻成反比。即

图2-8 部分电路

式中 I——导体中的电流(A);

U——导体两端的电压(V);

R——导体的电阻(Ω)。

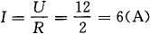
[例2-2] 有一个量程为300V(即测量范围是0~300V)的电压表,它的内阻R0为40kΩ。用它测量电压时,允许流过的最大电流是多少?

[解] 由于电压表的内阻是一个定值,测量的电压越高,通过电压表的电流就越大。因此,当被测电压为300V时,该电压表中允许流过的最大电流为:

(2)全电路欧姆定律

电源内为内电路,电源外的负载电路为外电路,全电路是指由内电路和外电路组成的闭合电路的整体。

全电路欧姆定律的内容是:在全电路中电流强度与电源的电动势成正比,与整个电路的内、外电阻之和成反比。其数学表达式为:

式中 I——电路中的电流(A);

E——电源的电动势(V);

R——负载电阻(Ω);

R0——电源内阻(Ω)。

由上式可得:

E=I·R+I·R0=U+U (2-8)

式中,U是电源内阻的电压降,U是电源向外电路输出的电压,也称电源的端电压。因此,全电路欧姆定律又可表述为:电源电动势在数值上等于闭合电路中内外电路电压降之和。

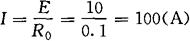
[例2-3] 图2-9所示电路,已知E=10V,R0=0.1Ω,R=9.9Ω。求开关SA在1、2、3不同位置时,电路各处于什么状态及电流表和电压表的读数。

图2-9

[解] SA在1.位时,电路处于通路状态

U=I·R=1×9.9=9.9(V)

SA在2位时,电路处于开路状态

I=0

U=E=10V,即电源的开路电压等于电源电动势。

SA在3位时,电路处于短路状态

U=E-I·R0=10-100×0.1=0

短路时,短路电流极大,不仅会损坏导线、电源和其他电器设备,甚至会引起火灾,因此除了合理的应用外,应绝对避免短路状态。

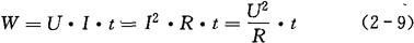
4.电功与电功率

(1)电功

电流流过负载时,负载将电能转换成其他形式的能(如:磁能、热能、机械能等)这一过程,称之为电流做功,简称电功。用符号W表示,其数学表达式为:

式中 U——加在负载上的电压(V);

I——流过负载的电流(A);

R——电阻(Ω);

t——时间(s);

W——电功(J)。

(2)电功率

电流在单位时间所做的功,称为电功率,简称功率。用符号P表示,其数学表达式为:

式中 P——电功率(瓦,用符号W表示)。

常用的电功率的单位还有千瓦(kW)、毫瓦(mW)等。换算关系如下:

1kW=103W

1W=103mW

(3)电功的另一个单位——度

1度=千瓦时(kW·h)

1度表示功率为一千瓦的用电设备在一小时内所消耗的电能。

度与焦耳的换算关系如下:

1度=3.6×106J (2-11)

[例2-4] 某电器的功率为150W,平均每天开机2h,若每度电费为0.61元,则一年(以365天计算)消耗多少度电,要交纳多少电费?

[解] 耗电 W=Pt=150×10-3×2×365=109.5(kW·h)=109.5(度)

电费 109.5×0.61=66.795(元)

5.电阻的串联、并联和混联

(1)电阻的串联

把两个或两个以上的电阻依次连接,组成一条无分支电路,这样的连接方式叫做电阻的串联,如图2-10所示。

图2-10 电阻串联电路

电阻串联具有以下性质:

①电阻串联电路中流过每个电阻的电流都相等,即

I=I1=I2=…=In (2-12)

式中,脚标1,2,…,n分别代表第1,第2,…,第n个电阻(以下出现的含义相同)。

②电阻串联电路两端的总电压等于各电阻两端的分电压之和,即

U=U1+U2+…+Un (2-13)

③电阻串联电路的等效电阻(即总电阻)等于各串联电阻值之和,即

R=R1+R2+…+Rn (2-14)

根据欧姆定律U=I·R,U1=I1·R1,…,Un=InRn及电阻串联性质(1)可得下式:

上式表明,在电阻串联电路中,各电阻上分配的电压与电阻值成正比,即阻值越大的电阻分配到的电压越大,反之越小。

若在两个电阻串联的电路中,已知总电压U及电阻R1、R2,可得分压公式如下:

在实际工作中,电阻串联有如下应用:

①用几个电阻串联以获得较大的电阻值。

②采用几个电阻串联构成分压器,使同一电源能供给几种不同数值的电压。

③当负载的额定电压低于电源电压时,可用串联电阻的方法将负载接入电源。

④限制和调节电路中电流的大小。

⑤扩大电压表的量程。

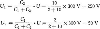
[例2-5] 图2-11是一个万用表表头,它的等效内阻Ra=10kΩ,满刻度电流(即允许通过的最大电流)Ia=50μA,若改装成量程(即测量范围)为10V的电压表,则应串联多大的电阻?

图2-11

[解] 按题意,当表头满刻度时,表头两端电压Ua

Ua=Ia·Ra=50×10-6×10×103=0.5(V)

显然用这个表头测量大于0.5V的电压会使表头烧坏,需要串联分压电阻,以扩大测量范围。设量程扩大到10V需要串入的电阻为Rx,则

由于电压表的等效内阻很大,一般电路计算时不考虑其对计算结果的影响。

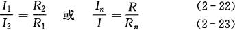
(2)电阻的并联

两个或两个以上电阻接在电路中相同的两点之间,承受同一电压,这样的连接方式叫做电阻的并联,如图2-12所示。

图2-12 电阻并联电路

电阻并联具有以下性质:

①电阻并联电路的总电流等于流过各电阻的电流之和,即

I=I1+I2+…+In (2-19)

②电阻并联电路中各电阻两端的电压相等,且等于电路两端的电压,即

U=U1=U2=…=Un (2-20)

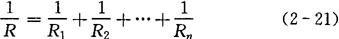
③电阻并联电路的等效电阻(即总电阻)的倒数等于各并联电阻的倒数之和,即

根据电阻并联电路性质②可得下式:

上式表明,在电阻并联电路中通过各支路的电流与支路的电阻值成反比,即阻值越大的电阻所分配到的电流越小,反之电流越大。

如果已知两个电阻R1,R2并联,并联电路的总电流为I,则总电阻

两个电阻中的分流I1,I2分别为

上式通常被称为两个电阻并联时的分流公式。

在实际工作中,电阻并联有如下应用:

①用几个电阻并联以获得较小的电阻值。

②凡是额定工作电压相同的负载都采用并联的工作方式,这样每个负载都是一个可独立控制的回路,任一负载的正常启动或关断都不影响其他负载的使用。例如:工厂中的电动机,电炉以及各种照明灯具均并联工作。

③扩大电流表的量程。

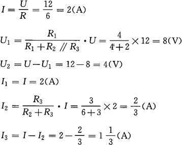
[例2-6] 求图2-12所示电阻并联电路的等效电阻R、总电流I、各负载电阻上的电压及各负载电阻中的电流。

[解] 等效电阻

=2(Ω)(R1∥R2表示R1与R2并联,下同)

总电流

各负载上的电压

U1=U2=U=12V

各负载中的电流

I2=I-I1=6-2=4(A)

(3)电阻的混联

既有电阻串联又有电阻并联的电路叫电阻混联,如图2-13所示。

图2-13 电阻混联电路

电阻混联电路的串联部分具有串联电路的性质,并联部分具有并联电路的性质。

电阻混联电路的分析,计算方法和步骤如下:

分析电阻混联电路时,应把混联电路分解为若干个串联和并联关系的电路,然后在电路中各电阻的连接点上标注不同字母,再根据电阻串、并联的关系逐一化简,计算等效电阻,并作出等效电路图。

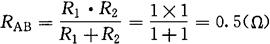
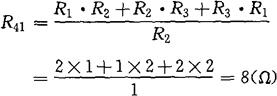
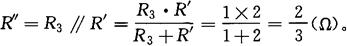
[例2-7] 已知图2-13中的R1=R2=R3=R4=R5=1Ω,求A、B间的等效电阻RAB等于多少?

[解] 通过对图2-13所示电阻混联电路的分析,可画出如图2-14所示的一系列等效电路,然后计算。

图2-14 等效电阻电路

图(a)中R1和R2依次相连,中间无分支,它们是串联,其等效电阻为:

R′=R1+R2=1+1=2(Ω)。

图(b)中R3和R′都接在相同的两点BC之间,它们是并联,其等效电阻为:

图(c)中R4和R″串联,其等效电阻为:

图(d)中R5并联,其等效电阻为:

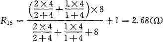
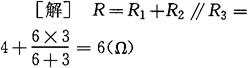
[例2-8] 求图2-15所示电阻混联电路的等效电阻R,总电流I,各负载电阻上的电压U1、U2及各负载电阻中的电流I1、I2及I3

图2-15

6.电阻的星形连接和三角形连接的等效变换

(1)电阻的星形连接等效变换成三角形连接

将图2-16(a)电阻的星形连接等效变换成图2-16(b)电阻的三角形连接,已知R1、R2、R3,求等效的R12、R23、R31的公式为:

图2-16 电阻的星形连接与三角形连接

其中若R1=R2=R3=RY,则R12=R23=R31=3RY

(2)电阻的三角形连接等效变换成星形连接

将图2-17(b)电阻的三角形连接等效变换成图2-17(a)电阻的星形连接,已知R12、R23、R31,求等效的R1、R2、R3的公式为:

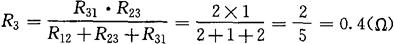
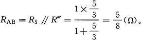
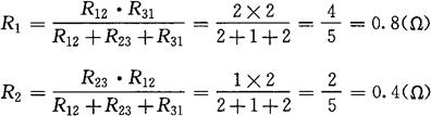
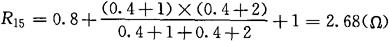
[例2-9] 求图2-17所示桥式电路1、5两端的等效电阻R15

图2-17

有两种求解方法。

[解Ⅰ] 将图2-17(a)中三角形电阻连接1、2、3用等效星形电阻连接代替,如图2-17(b)所示。得

然后用电阻的串并联公式可求出

[解Ⅱ] 将图2-17(a)整理成图2-18(a)的形式,以节点3为公共点,三个端钮分别为1、2、4的星形电阻连接用等效三角形电阻连接代替,如图2-18(b)所示。得

图2-18

然后用电阻的串并联公式可求出

7.电压源与电流源的等效变换

图2-19(a)为电压源,图2-19(b)为电流源,两者可以等效变换。

图2-19

具有电动势E和内阻R0的电压源,可以等效变换为具有相同内阻的电流源,它的电激流Is等于已知电压源的短路电流,即

具有电激流Is和内阻R0的电流源,可以等效变换为具有相同内阻的电压源,它的电动势E等于已知电流源的开路电压,即

E=R0·Is

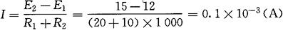
[例2-10] 图2-19(a)中,已知E1=10V,E2=6V,Is3=0.5A,R01=1Ω,R02=3Ω,R03=10Ω,R=5Ω,求R中的电流I。

以上解题过程是把图2-19(a)中的电压源E1,E2转变为电流源Is1,Is2,电流源Is3转变为电压源E3,得等效电路图2-19(b),再把图2-19(b)中的电流源Is1、Is2求和得电流源Is12,其等效电路为图2-19(c),然后把图2-19(c)中的电流源转变为电压源E12,得等效电路图2-19(d),最后应用欧姆定律求得电阻R上的电流I。

值得注意的是:在电压源与电流源等效变换时,如某点是电压源的参考正极性,变换后电流源其电流的参考方向应指向该点,如图2-19所示。

8.复杂电路及相关名词

(1)复杂电路

凡运用欧姆定律和电阻串并联公式就能求解的电路称为简单电路;否则,就是复杂电路。复杂电路由多个电源和多个电阻复杂联接而成。

(2)相关名词

①支路:电路中具有两个端钮且通过同一电流的每个分支(至少包含一个元件),叫支路。

②节点:三条和三条以上支路的联接点叫做节点。

③回路:电路中任一闭合路径叫做回路。只有一个回路的电路叫单回路电路。

④网孔:在回路内部不含有支路的这种回路叫网孔。

[例2-11] 指出图2-20所示复杂电路中的支路、节点、回路和网孔。

图2-20 复杂电路

[解] 图中有a1b、a2b两条有源支路和ab一条无源支路。

图中有a、b两个节点。

图中有a2b1a、a2ba、ab1a三个回路。

图中有a2ba、ab1a两个网孔。

9.基尔霍夫定律

(1)基尔霍夫第一定律

基尔霍夫第一定律也称节点电流定律。其内容是:流进一个节点的电流之和恒等于流出这个节点的电流之和。或者说流过任意一个节点的电流的代数和为零。其数学表达式为:

∑I=∑I(2-35)

或 ∑I=0 (2-36)

基尔霍夫第一定律表明电流具有连续性,在电路的任一节点上,不可能发生电荷的积累,即流入节点的总电量恒等于同一时间内从这个节点流出去的总电量。

[例2-12] 图2-21表示某复杂电路中的一个节点a。已知I1=5A,I2=2A,I3=-3A,试求通过R的电流I4

图2-21

[解] 假设通过R的电流I4的参考方向如图所示,根据基尔霍夫第一定律,列出节点电流方程为:

∑I=0

I1-I2-I3+I4=0

(+5)A-(+2)A-(-3)A+I4=0

I4=-6A

I4为负值,说明I4的实际方向和图示的参考方向相反,即I4的实际方向是从节点a流出的。

通过本例可见,在运用基尔霍夫第一定律时,常需和两种符号打交道。一种是方程中各项电流前的正负号,其正负决定于电流参考方向对节点的相对关系。“流入为正,流出为负”。另一种是电流本身数值的正负号,如本例中各括号内的正负号。

(2)基尔霍夫第二定律

基尔霍夫第二定律也称回路电压定律。其内容是:在任意回路中,电动势的代数和恒等于各电阻上电压降的代数和。其数学表达式为:

∑E=∑I·R (2-37)

[例2-13] 求图2-22所示电路中的回路电流I。

图2-22

[解] 列回路电压方程前首先要确定电动势及电压降极性的正负。其方法是:若在图中选择一个回路方向。回路的方向可以任意选取,但一旦确定后,在解题的过程中不得改变,并以这个回路方向为标准来确定电动势和电压降极性的正负。其原则是:当电动势的方向与回路方向一致时为正,反之为负;当支路电流方向与回路方向一致时,电压降为正,反之为负。

例如,在图2-22中,选定虚线所示方向为回路方向,E2的方向与回路方向一致而取正,E1的方向与回路方向相反而取负;电流方向与回路方向一致,所以电压降全部取正。

根据基尔霍夫第二定律,列出回路电压方程为:

∑E=∑I·R

E2-E1=I·R1+I·R2

则该回路的电流

10.支路电流法求解复杂电路

对一个复杂电路,先假设各支路的电流方向,再根据基尔霍夫定律列出方程进行计算的方法称支路电流法。其步骤如下:

①先标出各支路的电流方向和电路的回路方向。对于具有两个以上电动势的回路,通常取电动势大的方向为回路方向;支路电流方向也可参照此法来假设。

②用基尔霍夫第一定律列出节点电流方程。一个具有n条支路、m个节点(n>m)的复杂电路,需列出n个方程来联立求解。由于m个节点只能列出m-1个独立方程,这样还缺n-(m-1)个方程,可由基尔霍夫第二定律补足。

③用基尔霍夫第二定律列出回路电压方程。关于电动势和电压降正负极性的确定方法,如前所述。

④代入已知数,解联立方程求出各支路的电流,并确定各支路电流的实际方向。其原则是:计算结果为正值时,实际方向和假设方向相同;计算结果为负值时,实际方向和假设方向相反。

[例2-14] 用支路电流法求图2-23所示电路中的各支路电流。

图2-23

[解] ①假设各支路电流方向和回路方向如图2-23所示。

②电路中只有2个节点,所以只能列出一个节点电流方程。对节点A其节点电流方程为:

∑I=0

I1+I2-I3=0 (1)

③电路中有三条支路,需列三个方程。现已列出一个节点电流方程,其余两个方程可由基尔霍夫第二定律列出。对于回路1和回路2其回路电压方程分别为:

∑E=∑I·R

R1·I1+R3·I3=E1 (2)

R2·I2+R3·I3=E2 (3)

④代入已知数值,解联立方程

用行列式分别求得:

所以

⑤确定各支路电流的实际方向。因为I1和I3为正值,所以它们的实际方向与假设方向相同;I2为负值,其实际方向与假设方向相反。

11.回路电流法求解复杂电路

先把复杂电路分成若干个最简单的回路(即网孔),并假设各回路的电流方向,然后根据基尔霍夫第二定律列出各回路的电压方程来求解,这种方法称回路电流法。其步骤如下:

①先假设各网孔的回路电流方向。为了区别回路电流和支路电流,一般回路电流符号用双脚标,如I11、I22等。

②根据基尔霍夫第二定律列出回路电压方程(有几个网孔,就得列几个回路电压方程)。必须指出,在列回路电压方程时,应使在任意一个回路内,所有电动势的代数和等于本回路电流在各电阻上的电压降以及相邻回路电流在公共支路电阻上的电压降的代数和。

电动势的正负方向规定为:当电动势的正方向与回路电流方向一致时为正,反之为负。

电压降的正负方向可分两种情况来处理:

a.本回路电流在本回路所有电阻上产生的电压降都为正。

b.如相邻回路电流与本回路电流在通过公共支路时的方向一致,则相邻回路电流在公共支路电阻上的电压降为正,反之为负。

③代入已知数,解联立方程组,求回路电流。

④选定各支路电流的参考方向,根据单独支路的电流就是本回路电流、公共支路的电流等于相邻回路电流代数和的原则,求出各支路电流(当回路电流的假设方向与支路电流的参考方向一致时,回路电流的符号前取正号,反之取负号)。

⑤最后确定各支路电流的实际方向,其原则是当计算结果为正值时,表示实际方向与选定的参考方向相同;计算结果为负值时,表示实际方向与选定的参考方向相反。

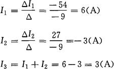
[例2-15] 用回路电流法求图2-24所示电路中的各支路电流。

图2-24

[解] ①假设回路电流方向如图2-24所示。

②根据基尔霍夫第二定律列出两个网孔的回路电压方程为:

(R1+R3)·I11+R3·I22=E1 (1)

(R2+R3)·I22+R3·I11=E2 (2)

③代入已知数,解联立方程

5I11+4I22=18 (3)

4I11+5I22=9 (4)

式(3)×5减式(4)×4得

9I11=54

I11=6A

将I11=6A代入式(3)得

I22=-3A

④选定各支路电流的参考方向如图2-24所示。各支路电流为有关回路电流的代数和,即

I1=I11=6A

I2=I22=-3(A)

I3=I11+I22=6-3=3(A)

⑤I1、I3均为正值,表示它们的实际方向与图中假设的方向一致。I2为负值,其实际方向与假设方向相反。

12.叠加原理求解复杂电路

叠加原理能将复杂电路简化为简单电路,其内容是:当线性电路中有几个电源共同作用时,各支路的电流(或电压)等于各个电源单独作用时在该支路产生的电流(或电压)的代数和(叠加)。

使用叠加原理时,应注意下列几点:

①只能用来计算线性电路的电流和电压,对非线性电路,叠加原理不适用。

②叠加时要注意电流和电压的参考方向,至于各电流和电压前正号或负号,由参考方向的选择而定。

③叠加时,电路的连接及所有电阻不变。所谓电动势不作用,就是用短路线代替该电动势;电流源不作用,就是在该电流源处用开路代替。

④由于功率不是电流或电压的一次函数,所以不能用叠加原理来计算功率。

[例2-16] 用叠加原理求图2-25(a)所示电路中的支路电流I1和I2

图2-25

[解] 根据叠加原理作出图2-25(b)和图2-25(c)。(b)中电流源Is不作用,以开路代替;而(c)中电动势E不作用,以短路线代替。

在图(b)中

在图(c)中

最后,将各电源单独作用时产生的各支路电流进行叠加,即可求出原电路中各支路电流。叠加时,图(b)和图(c)中各支路电流分量与图(a)中原支路电流假设方向一致时取正号,反之取负号,即

I1为负值,其实际方向与假设方向相反;I2为正值,其实际方向与假设方向相同。

13.戴维南定理求解复杂电路

戴维南定理又叫等效发电机定理、等效电源定理或有源二端网络定理等。其内容是:任何一个有源二端线性网络都可以用一个具有恒定电动势和内阻的等效电源来代替,此恒定电动势就等于有源二端网络的开路电压,而内阻等于网络内所有电源都不起作用时的无源二端网络的等效电阻(此时,网络内所有的电动势均应为零,即恒压源处于短路状态,而恒流源应处于开路状态)。

用戴维南定理求某一支路电流的步骤如下:

①把复杂电路分成待求支路和有源二端网络两部分。

②把待求支路断开,求出有源二端网络的开路电压。

③将网络内各恒压源短路,恒流源开路,求出无源二端网络的等效电阻。

④画出等效电源图,其电动势等于有源二端网络的开路电压,内阻等于无源二端网络的等效电阻。将等效电源重新接上待求支路,根据全电路欧姆定律即可求出该支路的电流。

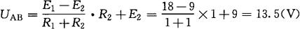
[例2-17] 用戴维南定理求图2-26(a)所示电路中R3上的电流。

(a)

(b)

(c)

(d)

图2-26

[解] 在图(b)中,有源二端网络的开路电压为:

在图(c)中,无源二端网络的等效电阻为:

在图(d)中,电阻R3上的电流为:

14.电容器及电容器的并联、串联和混联

(1)电容器

由两个导体,中间隔以介质构成的装置叫电容器。此导体称为电容器的极板。电容器是一种能够储存电场能量的元件,用符号C表示。

反映电容器储存电场能量大小的物理量是电容量,简称电容,也用符号C表示。电容器的电容量等于它的任一极板所储存的电荷量与两极板间电压的比值,即:

式中 Q——电荷量(C);

U——两极板间的电压(V);

C——电容量(法拉,用符号F表示)。

常用的电容量单位还有微法(μF)和皮法(pF)。换算关系如下:

1μF=10-6F

1pF=10-6μF=10-12F

电容器电容量的大小取决于本身的形状、尺寸和介质。当电容器的结构和介质决定后,其电容量就是一个定值。几种典型结构电容器电容量的计算公式如下:

①平板电容器

式中 ε0——真空介电常数,其值为8.85×10-12F/m;

εr——相对介电常数;

S——极板有效面积(m2);

d——两极板间的距离(m);

C——电容量(F)。

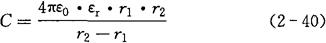
②球形电容器

式中 r1——内球外表面的半径(m);

r2——外球内表面的半径(m)。

③圆柱形电容器

式中 l——圆柱形电容器的长度(m);

r1——内柱外表面的半径(m);

r2——外柱内表面的半径(m)。

电容器的指标有电容量、误差范围、耐压、介质损耗、绝缘电阻和稳定性等。在一般情况下,电容器的主要指标是指电容量和耐压。

耐压也叫额定工作电压,是电容器长期工作时所能承受的最大电压。为保证电容器的安全使用,应使加在电容器两端的实际工作电压小于它的耐压。

电容器的应用十分广泛,其中最主要的就是电容器在一定条件下可以充电、放电以及起到隔直流通交流的作用。

(2)电容器的并联

两个或两个以上的电容器,接在电路相同两点之间,承受同一电压的连接方式叫做电容器的并联,如图2-27所示。

图2-27 电容器并联电路

电容器并联具有以下性质:

①每个电容器两端的电压相同,并等于外加电压U,即

U=U1=U2=…=Un (2-42)

②各并联电容器的等效电容所带的电荷量Q等于各并联电容器所带电荷量之和,即

Q=Q1+Q2+…+Qn (2-43)

③并联电容器的等效电容量C等于各并联电容器的电容量之和,即

C=C1+C2+…+Cn (2-44)

上式说明并联电容器的等效电容量总是大于其中任何一个并联电容器的电容量,电容器并联相当于加大了储存电场能量的极板面积,所以在电容量不足的情况下,可将几个电容并联使用。

并联电容器两端所能承受的最大工作电压(即等效电容的耐压),由其中耐压值最低的一个电容器来决定。如果外加电压大于该电容的耐压时,它将被击穿,使电路短路。

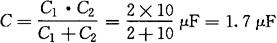
[例2-18] 电容器C1=200μF,其耐压为25V;电容器C2=1000μF,其耐压为100V。试求它们并联后的等效电容量及电路两端允许加的最大工作电压。

[解] C1和C2并联后的等效电容量为:

C=C1+C2=200+1000=1200(μF)

电路两端的最大工作电压由耐压最低的电容器决定,所以电路两端允许加的最大工作电压为25V。

(3)电容器的串联

两个或两个以上的电容器依次连接,中间无分支的连接方式叫做电容器的串联,如图2-28所示。

图2-28 电容器串联电路

电容器串联具有以下性质:

①各个电容器上所带的电荷量相等,并等于电容器串联后的等效电容器上所带的电荷量Q,即

Q=Q1=Q2=…=Qn (2-45)

②串联电容器两端的总电压U等于各个电容两端电压之和,即

U=U1+U2+…+Un (2-46)

上式说明电容器串联相当于储存电场能量的极板之间的距离加长,所以,当一个电容器的耐压不够大时,可将几个电容器串联使用(这时还需考虑电容量的改变)。

③串联电容器的等效电容量的倒数,等于各串联电容器电容量的倒数和,即

上式说明串联电容器的等效电容量小于其中任何一个串联电容器的电容量,而且串联的电容器越多,总的等效电容量越小。

两个串联电容器的等效电容量为:

④各串联电容器两端所承受的电压与其电容量成反比,即

上式说电容器在串联时,电容量越小的电容器承受的电压越高。

两个串联电容器的分压公式为:

[例2-19] 现有两个电容器,其中C1的电容量为2μF,耐压为160V;C2的电容量为10μF,耐压为250V,如果将两个电容器串联后接在300V的直流电源上,问它们的总电容量是多少?这样使用是否安全?

[解] 总电容量

电源电压在C1、C2上的分配为

由于C1实际承受的电压为250V,大于其耐压160V,所以很快被击穿。C1一旦被击穿,300V的电源电压将全部加在C2的两端,大于C2的耐压250V(注意这时U2不再是50V),C2也被击穿。所以这样使用不安全。

(4)电容器的混联

三个或三个以上的电容在连接时,既有并联又有串联的连接方式,叫电容器的混联,如图2-29所示。

图2-29 电容器混联电路

计算混联电容器的等效电容量时,应根据具体情况分别应用串联和并联的知识来求解。

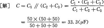
[例2-20] 图2-29中,已知C1=C2=C3=50μF,求等效电容量C。

随便看

 

离鸟网收录3541549条中英文词条,其功能与新华字典、现代汉语词典、牛津高阶英汉词典等各类中英文词典类似,基本涵盖了全部常用中英文字词句的读音、释义及用法,是语言学习和写作的有利工具。

 

Copyright © 2004-2024 vtrois.com All Rights Reserved
更新时间:2026/4/8 3:40:26