网站首页  词典首页


请输入您要查询的字词:

 

字词 直流电路分析方法
类别 中英文字词句释义及详细解析
释义

直流电路分析方法


1.基尔霍夫定律

1)基尔霍夫电流定律

在电路中汇于节点的各支路电流的代数和恒等于零。

2)基尔霍夫电压定律

在电路中的任意一个回路顺沿一周各支路上的电压的代数和等于回路电动势的代数和。

2.支路电流法

应用支路电流分析具有b条支路、n个节点的电路时,其步骤如下:

(1)选定各支路电流参考方向。

(2)按基尔霍夫电流定律,对(n-1)个独立节点,列出节点电流方程。

(3)选取独立回路。独立回路个数应为l=b-(n-1)个,并指定回路的绕行方向(对于平面电路,通常取网孔为独立回路,并指定回路绕行方向一律为顺时针或逆时针方向)。然后对所选定的独立回路,应用基尔霍夫电压定律,列出回路方程。

(4)联立求解上述b个独立方程,就得出待求的各支路电流。

3.回路电流法

在图15-3所示电路中,用基尔霍夫电压定律分别列出两个回路的方程为:

图15-3

令 R11=R1+R2 R12=R21=-R2 R22=R2+R3

E1t=E1-E2 E22=E2-E3

代入式(15-1)得

由上式(15-2)可推出具有l个独立回路的电路,其回路电流方程的一般式如式(15-3):

上式中的R11,R22,R33,…,R11称为自阻,自阻总是正的,R12,R13,…,R1t;R21,R23,R21,…,R13称为互阻,其正负由相关的两个回路电流通过公共电阻时两者的参考方向是否一致来决定,一致时取正,相反时取负。

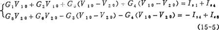
4.节点电压法

在图15-4所示电路中,选择节点0为参考节点,节点1和2的节点电压以V10和V20来表示。根据基尔霍夫电流定律得下列方程。

图15-4

式中

I4=G4(V10-V20),I5=G5V20,I6=G6V20

整理得:

进一步整理得:

令 G11=G1+G2十G3+G4

G12=G21=-(G3+G4) Is11=Is1+Is

G22=G3+G4+G5+G6 Is22=-Is4+Is6

则式(15-6)可写成

我们称G11,G22为自导,自导始终为正;G12,G21为互导,互导总是负的。

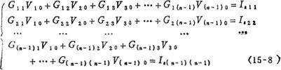
由式(15-7)推广可得具有(n-1)个独立节点的电路的节点电压方程一般表示式:

利用节点电压法分析电路时,若电路中具有电压源时,可用电源变换方法将电压源变换成电流源后再列节点电压方程。

5.叠加原理

在线性电路中,任一支路电流(或电压)都是电路中各个电动势单独作用时在该支路中产生的电流(或电压)的代数和。

计算某一电动势在各支路中所产生的电流(或电压)的数值时,则将线路中其他电压源短路,电流源开路。若独立源是非理想独立源,则应将内阻或内电导保留在原电路中。

6.Y形网络与△形网络的等值互换

在图15-5所示的电路中,Y形和△形相互变换的公式为:

图15-5

例如:

随便看

 

离鸟网收录3541549条中英文词条,其功能与新华字典、现代汉语词典、牛津高阶英汉词典等各类中英文词典类似,基本涵盖了全部常用中英文字词句的读音、释义及用法,是语言学习和写作的有利工具。

 

Copyright © 2004-2024 vtrois.com All Rights Reserved
更新时间:2026/4/8 10:19:48