网站首页  词典首页


请输入您要查询的字词:

 

字词 直线桥梁施工测量
类别 中英文字词句释义及详细解析
释义

直线桥梁施工测量


1.桥轴线测定

(1)直接丈量法

桥梁位于干涸或浅水或河面较窄的河段,有良好的丈量条件,宜采用直接丈量法测量桥轴线长度。这种方法设备简单,精度可靠、直观。由于桥轴线长度的精度要求较高,一般采用精密丈量的方法。具体步骤如下:

1)清理桥轴线范围内场地。

2)经纬仪置于桥轴线一控制桩上,定出轴线方向,每隔一整尺距离钉设一木桩,木桩要钉牢,不能有丝毫晃动。

3)用水准仪测出相邻桩顶间的高差,据此计算倾斜改正。为了检核,一般应测量两次。第二次可放在丈量结束后进行,以检查丈量过程中木桩是否有变动。

4)应使用检定过的钢尺。丈量时用弹簧秤施以标准拉力。每一尺段可连续测量三次,每次读数时应稍为变更钢尺的位置,读数读至0.1mm。三次测量的结果,其较差不得大于限差要求,取其平均值。

5)在丈量距离的同时应测量温度一次。

6)计算每一尺段的尺长、温度及倾斜改正,求得改正后的尺段长度。然后将各尺段长度求和,得到桥轴线测量一次的长度。

7)一般应往返丈量至少各一次,称为一测回。根据丈量精度要求,可测数测回。桥轴线长度取数测回的平均值。

8)计算桥轴线长度中误差:

相对中误差

式中 v——桥轴线平均长度与每次丈量结果之差;

n——丈量次数;

L——桥轴线平均长度。

(2)光电测距法

光电测距具有作业精度高、速度快、操作和计算简便等优点,且不受地形条件限制。目前公路工程大多使用中、短程红外测距仪,测程可达3km。测距精度一般优于±(3+2×10-6D)mm。

使用红外测距仪能直接测定桥轴线长度。但若桥墩的施工要采用交会法定位,则可将桥轴线长度作为一条边,布设成双闭合环导线,如图12-2所示。

图12-2 双闭合环导线

在布设导线时,应考虑导线点的位置尽可能选在高处,以便于对桥墩进行交会定位及减少水面折光对测距的影响,而且使交会角尽可能接近90°。

(3)三角网或边角网法

特大桥桥轴线的测定一般采用三角测量的方法。选点时将桥轴线作为三角网的一条边长,再精确测定三角网的1~2条边长(称为基线),观测所有角度后,即可解算桥轴线长度。近年来由于光电测距仪的广泛应用,精密测定边长已不困难,因此可在三角网的基础上加测若干边长,称为边角网,其精度一般优于三角网,但外业工作量及平差工作的难度都比三角网大。

2.直线桥梁的墩、台定位

在桥梁施工测量中,测设墩、台中心位置的工作称为桥梁墩、台定位。

直线桥梁的墩、台定位所依据的原始资料为桥轴线控制桩的里程和桥梁墩、台的设计里程。根据里程可以算出它们之间的距离,并由此距离定出墩、台的中心位置。

如图12-3所示,直线桥梁的墩、台中心都位于桥轴线的方向上,已经知道了桥轴线控制桩A、B及各墩、台中心的里程,由相邻两点的里程相减,即可求得其间的距离。墩、台定位的方法,可视河宽、河深及墩、台位置等具体情况而定。根据条件可采用直接丈量、光电测距及交会法。

图12-3 直线桥梁墩、台布置图

(1)直接丈量

当桥梁墩、台位于无水河滩上,或水面较窄,用钢尺可以跨越丈量时,可采用钢尺直接丈量。丈量所使用的钢尺必须经过检定,丈量的方法与测定桥轴线的方法相同,结合现场情况,先进行尺长和温度等各项改正,算出测设时的尺面长度,然后按这一长度从起点开始,沿已知方向定出终点位置,因此,测设时各项改正数的符号与丈量时恰好相反。

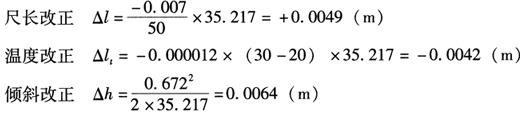
如图12-3所示,桥轴线控制桩A至桥台的距离为35.217m,在现场概量距离后,用水准测量测得两点间高差为0.672m,测设时的温度为30℃,所用钢尺经过检定,其尺长方程式为

l=50m-0.007m+0.000012×(t-20℃)(m)

三项改正数为:

则测设时的尺面读数应为

35.217+0.0049-0.0042+0.0064=35.2241(m)

(2)光电测距

光电测距目前一般采用全站仪,用全站仪进行直线桥梁墩、台定位,简便、快速、精确,只要墩、台中心处可以安置反射棱镜,而且仪器与棱镜能够通视,即使其间有水流障碍亦可采用。

测设时最好将仪器置于桥轴线的一个控制桩上,瞄准另一控制桩,此时望远镜所指方向为桥轴线方向。在此方向上移动棱镜,通过测距以定出各墩、台中心。这样测设可有效地控制横向误差。为确保测设点位的准确,测后应将仪器迁至另一控制点上再测设一次进行校核。

(3)直线桥梁墩、台纵横轴线测设

在测设出墩、台中心位置后,尚需测设墩、台的纵横轴线,作为放样墩、台细部的依据。所谓墩、台的纵轴线,是指过墩、台中心,垂直于路线方向的轴线;墩、台的横轴线,是指过墩、台中心与路线方向相一致的轴线。

在直线桥上,墩、台的横轴线与桥轴线相重合,且各墩、台一致,因而就利用桥轴线两端的控制桩来标志横轴线的方向,一般不再另行测设。

如图12-4所示,墩、台的纵轴线与横轴线垂直,在测设纵轴线时,在墩、台中心点上安置经纬仪,以桥轴线方向为准测设90°角,即为纵轴线方向。由于在施工过程中经常需要恢复墩、台的纵横轴线的位置,因此需要用标志桩将其准确标定在地面上,这些标志桩称为护桩。

图12-4 用护桩标定墩、台纵、横轴线位置

为了消除仪器轴系误差的影响,应该用盘左、盘右测设两次而取其平均位置。当采用光电测距仪进行测设时,亦可采用极坐标法进行定位。

随便看

 

离鸟网收录3541549条中英文词条,其功能与新华字典、现代汉语词典、牛津高阶英汉词典等各类中英文词典类似,基本涵盖了全部常用中英文字词句的读音、释义及用法,是语言学习和写作的有利工具。

 

Copyright © 2004-2024 vtrois.com All Rights Reserved
更新时间:2026/4/8 15:59:32