网站首页  词典首页


请输入您要查询的字词:

 

字词 直角三角形三边长度计算
类别 中英文字词句释义及详细解析
释义

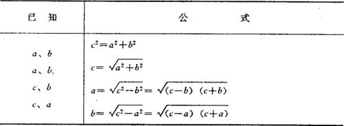
直角三角形三边长度计算


直角三角形三边长度计算的基本公式为:

〔计算例〕 某吊装竖立抱杆高度50米,底边86.6米,求绳长度(c)。

图1-7

随便看

 

离鸟网收录3541549条中英文词条,其功能与新华字典、现代汉语词典、牛津高阶英汉词典等各类中英文词典类似,基本涵盖了全部常用中英文字词句的读音、释义及用法,是语言学习和写作的有利工具。

 

Copyright © 2004-2024 vtrois.com All Rights Reserved
更新时间:2026/4/9 10:02:35