网站首页  词典首页


请输入您要查询的字词:

 

字词 相对收入假定
类别 中英文字词句释义及详细解析
释义

相对收入假定


美国经济学家杜森伯里(J.Duesenberry)在《收入、储蓄和消费者行为》(1949年)一书中提出的一种消费函数理论。

它是协调适合于长期与短期时间序列及预算数据的消费函数所显示的相互矛盾的现象而做出的一种努力;它试图把社会心理引入消费理论,修正凯恩斯(J.M.Keynes)的绝对收入假定。相对收入假说是在否定绝对收入假定中两个重要的隐含假设条件的基础上提出的。相应地,杜森伯里提出了有关消费者行为的两个具有社会心理因素的假设,它们也构成了相对收入的两层含义:(1)消费者的消费受相关群体的消费和收入的影响;(2)消费者的现期消费受自己过去的消费水平和收入的影响。首先,杜森伯里不同意包括凯恩斯在内的假定消费者的消费支出是彼此独立的传统观点,认为消费者的消费支出不仅受自身收入的影响,而且也受到周围的人的消费行为及其收入水平的影响。

根据这一社会心理观点,个体效用函数不依赖于其他人的效用函数或消费不具有外部性的传统假设不再成立。杜森伯里引入了严格相互依赖的效用函数,即:

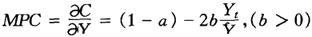
其中,Rt(t=0,1,2,…,T)是其他人消费的加权平均值,Ct(t=0,1,2,…,T)是个人消费。由于消费的示范效应,只有个人的消费相对于平均消费上升时,效用才会增加。这样,一个人的消费在其收入中所占的比例取决于他在收入分配中所处的位置。对于收入水平低于平均水平的人,其消费在收入中所占的比例就比较高,这是因为他要用较低的收入维持既定平均消费的标准。对于收入水平高于平均水平的人,其消费在收入中所占的比例就比较低。这是因为他只要用较少的收入就可以维持既定的平均的消费标准。在将人口按照收入进行分组后,收入水平越高的组,其平均消费倾向就越低;收入水平越低的组,其平均消费倾向就越高。

这就说明了在横截面分析中,为什么有MPC<APC的结论。在长期中,如果消费者收入提高,开始可能打算扩大储蓄部分的比例,但是当他发现所有人的收入都与他按同一比例提高,并且原来收入比他高的阶层的人的收入和消费仍比他高时,在他们的示范下,该消费者也将扩大他的消费支出,造成消费支出与收入同比例提高。

因此,如果收入沿着长期趋势增长,并且收入分配是相当稳定的,那么人们会在其消费和收入之间维持一个既定的比例,长期平均消费倾向是不变的,于是有MPC=APC。在长期中,除相对收入外,影响消费的因素可能还有:(1)新产品的出现;(2)城市化趋势;(3)人口年龄分布的变化;(4)储蓄动机的变化;(5)收入预期和利息率。

但杜森伯里认为,这些因素有的作用较小,有的虽起作用但与其他因素的反作用相互抵消。其次,杜森伯里也不同意凯恩斯假定消费者的消费只受本人目前实际收入的影响,认为消费者的消费支出不仅受自己目前收入的影响,而且也受到自己过去消费和收入水平的影响,特别是过去“高峰”时期的收入和消费水平的影响。

这样,对一个消费者而言,从高水平上减少支出比在原有水平上抑制高支出更困难。这叫做“消费的不可逆性”。

这一思想意味着,储蓄在收入中所占的比例是现期收入与按物价指数调整过的过去达到的最高收入的比率的递增函数:

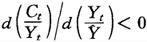
其中,表示按物价指数调整过的过去达到的最高收入。由上式可推出现期消费(Ct)占现期收入(Yt)的比例Ct/Yt是Yt/Y的递减函数,即:

这表示当相对收入下降时,为了保持过去较高的消费水平,St/Yt下降,Ct/Yt上升。

在线性情形下可表示为:

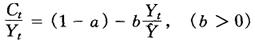
根据消费与储蓄的关系:C+S=Yd,Yd是可支配收入,可以得到杜森伯里消费函数:

在短期,实际收入围绕长期增长趋势上下波动,消费在收入中所占的比例将随收入的波动反向变动,即消费和收入在短期是非比例关系的。由杜森伯里消费函数可以得到短期边际消费倾向:

这说明从前的高峰收入保持不变时,MPC<APC。

在长期内,当收入沿着长期趋势增长时,从前的高峰收入将总是上一期的收入(Yt-1),因此:

g是实际收入增长率,是一个常数。那么消费在收入中所占的比率也是一个常数,即平均消费倾向保持不变,长期消费函数可以写成:

C=kY,k=(1-a)-b(1+g),0<k<1

这就说明了在长期中,MPC=APC。

将杜森伯里对消费行为的短期分析和长期分析结合起来,就可以得出消费函数理论中着名的“棘轮效应”。

在图中,横轴代表可支配收入,纵轴代表消费。

当收入沿着长期趋势增长时,消费和收入沿着长期消费函数变动,APC保持不变。假定现在在(Y1,C1)点,Y1点是历史上的高峰收入,经济进入衰退,收入降低,消费和收入将不会沿着长期消费函数减少,而是沿着短期消费函数减少,当经济复苏时,消费和收入沿着短期消费函数回到历史上的高峰收入处,即(Y1,C1)处。

当经济继续增长时,消费和收入就沿着长期消费函数变动。在新的收入高峰经济再次衰退时,重复上面的过程。

短期消费函数曲线就像棘轮-样,对消费的下降起着阻滞的作用。

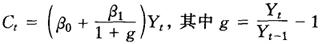
根据杜森伯里的相对收入假定得到的消费函数还有另外一种形式,即:

Ct/Yt01(Y/Yt),β0,β1>0

其长期消费函数形式如下:

其短期消费函数形式如下:

Ct=β′10Yt,其中β′11Y为常数

由杜森伯里的相对收入假定可以看出,消费的波动比收入的波动程度要小,这对于稳定经济,特别是对衰退的缓解,起着重要作用。

对于相对收入假定的实证研究表明,它能够比较好地协调横截面数据和短期时间序列数据与长期时间序列数据之间的矛盾现象。但它对于消费者行为的两项假定(相互依赖的效用函数和依赖过去的“后顾倾向”)与经典的微观经济理论对消费者行为的假定(独立的效用函数和具有“前瞻性”的理性“经济人”)是颇为不同的,它无法解释和预测具有预期的、面向未来的消费者行为。

随便看

 

离鸟网收录3541549条中英文词条,其功能与新华字典、现代汉语词典、牛津高阶英汉词典等各类中英文词典类似,基本涵盖了全部常用中英文字词句的读音、释义及用法,是语言学习和写作的有利工具。

 

Copyright © 2004-2024 vtrois.com All Rights Reserved
更新时间:2026/4/7 19:39:54