网站首页  词典首页


请输入您要查询的字词:

 

字词 着色混合料或填充混合料的密度
类别 中英文字词句释义及详细解析
释义

着色混合料或填充混合料的密度


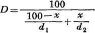
混有颜料或填充剂的塑料的密度,可由下列公式计算之:

式中:D=最终混合料的密度

d1=基础聚合物的密度

d2=颜料或填充剂的密度

x=所加颜料或填充剂的重量(%)

图9-5 聚乙烯的密度和屈服应力及正割模量的关系

图9-6 聚乙烯密度对软化点和硬度的影响

随便看

 

离鸟网收录3541549条中英文词条,其功能与新华字典、现代汉语词典、牛津高阶英汉词典等各类中英文词典类似,基本涵盖了全部常用中英文字词句的读音、释义及用法,是语言学习和写作的有利工具。

 

Copyright © 2004-2024 vtrois.com All Rights Reserved
更新时间:2026/5/31 17:21:36