网站首页  词典首页


请输入您要查询的字词:

 

字词 砂石垫层的施工
类别 中英文字词句释义及详细解析
释义

砂石垫层的施工


在地基基础设计与施工中,对于浅层软弱土的处理,常采用换土垫层法,即将基础底面下处理范围内的软弱土挖除,分层换填强度较高的砂、碎石、灰土、煤渣、矿渣、二灰(石灰、粉煤灰)及其他性能稳定、无侵蚀性的材料,并夯(压、振)至要求的密实度为止,以达到提高地基承载力,减少地基沉降量的目的。

(一)砂石垫层的特点及适用范围

砂石垫层是浅层软弱土处理中最常用的一种垫层形式,系采用砂或砂石混合物,按设计厚度分层填筑夯实,作为地基的持力层,提高基础下部地基的强度,并通过砂石垫层的压力扩散作用,降低对地基的压应力,从而减少沉降量。砂石垫层另一个非常重要的作用,可以将地基土中孔隙水通过砂石的孔隙快速排出,从而加速下部土层的沉降和固结。

砂石垫层应用范围广泛,不需要掺加胶凝材料,由于砂石颗粒较大,可防止地下水因毛细作用上升,地基不受冻结的影响;地基的沉陷能在施工期间完成,不耽误主体建筑物的施工;用机械和人工均可使垫层密实至要求的密度,施工工艺非常简单,可以大大缩短工期,降低工程造价等特点。

砂层和砂石垫层处理地基的方法,适用于处理3.0m以内的软弱、透水性强的黏性土地基,但不宜用于加固湿陷性黄土地基及渗透系数小的黏性土地基。

(二)砂垫层及砂石垫层的设计

砂垫层及砂石垫层的设计,主要包括垫层厚度的确定、垫层宽度的确定、砂石垫层承载力的确定和沉降量的计算。

1.垫层厚度的确定

垫层的厚度应根据垫层底部软弱土层的承载力确定,即作用在垫层底面处土的自重压力(标准值)与附加压力(设计值)之和不大于软弱土层经深度修正后的地基承载力设计值,如图2-1所示,可按式(2-1)计算确定。

式中 fz——经深度修正后垫层底面处土层的地基承载力设计值(kPa);

图2-1 垫层内应力的分布示意图

1-基础;2-砂垫层;3-回填土

Pcz——垫层底面处土的自重压力标准值(kPa);

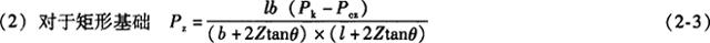
Pz——垫层底面处附加压力设计值(kPa),通常按简化的压力扩散角法求得,根据基础不同形式分别按以下简化式计算:

式中 l——矩形基础底边的长度(m);

b——矩形基础或条形基础底边的宽度(m);

Pcz——基础底面处土的自重压力值(kPa);

Z——基础底面下垫层的厚度(m);

Pk——基础底面处的平均压力值(kPa);

θ——垫层的压力扩散角,可按表2-2采用。

表2-2 垫层的压力扩散角θ

注:1.当Z/b<0.25时,除灰土仍按θ=30°外,其余材料均按θ=0°;

2.当0.25<Z/b<0.5时,θ值可以内插求得;

3.Ip为土的塑性指数。

在确定垫层的厚度时,需要用试算法,即预先估计一个厚度,再按式(2-1)进行校核,如不能满足需求时,再增加垫层厚度,直至满足要求为止。

砂石垫层的厚度一般为0.5~2.5m,不宜大于3.0m,也不宜小于0.5m。如果垫层厚度大于3.0m,则费工费料,很不经济,施工困难;如果垫层厚度小于0.5m,则垫层起不到应有的作用。

2.垫层宽度的确定

砂垫层或砂石垫层的宽度,除要满足压力扩散的要求外,还要根据垫层侧面土的强度大小来确定,以防止垫层向两边产生移动。如果垫层宽度不足,四周侧面土质又比较软弱时,垫层就有可能部分挤入侧面软弱土中,使基础沉降增大。

垫层宽度常由扩散角法进行计算

式中 b′——砂石垫层的计算宽度(m);

b、θ——符号含义同上。当Z/b<0.25时,按Z/b=0.25取值。

垫层的顶面每边宜超出基础底边不小于300mm,或从垫层底面两侧向上按当地施工经验的要求放坡。大面积整片垫层的底面宽度,常按自然倾斜角控制适当加宽。

3.垫层承载力确定

砂石垫层的承载力应以试验确定,重要工程中厚度大的垫层,可以采用载荷试验确定。对于一般工程可以采用标准贯入试验、静力触探和取土样试验确定,当无试验资料时,可按表2-3中的数据选用,并验算下卧层的承载力。

表2-3 各种垫层的承载力参考值

注:1.压实系数小的垫层,承载力标准值取低值,反之取高值;

2.重锤夯实土的承载力标准值取低值,灰土取高值;

3.压实系数λc为土的控制干密度与最大干密度的比值;土的最大干密度宜采用击实试验确定,碎石或卵石的最大干密度可取2.0~2.2t/m3

4.垫层沉降量计算

垫层沉降量的计算分为两部分,一部分是垫层本身的沉降,另一部分是软弱下卧层的沉降。由于垫层材料的弹性模量远远大于下卧层的弹性模量,所以在一般情况下,软弱下卧层的沉降量占整个沉降的大部分。

根据我国对软黏土地区建筑物沉降观测和地基处理实践表明:采用垫层法进行局部处理后,往往由于软弱下卧层的变形,建筑物的地基仍将产生过大的沉降量和沉降差。下卧层顶面承受的换填材料本身的压力超过原天然土层压力较多的工程,地基下卧层将产生较大的变形。重要的工程可按《建筑地基基础设计规范》(GB 50007-2002)中的变形计算方法进行建筑物的沉降计算,以保证垫层加固效果及建筑物的安全使用。

(三)砂和砂石垫层的施工

1.对于垫层材料的要求

用于砂和砂石垫层的材料,应当采用级配良好、质地坚硬的材料,其颗粒的不均匀系数最好不小于10,砂以中砂为好。当采用细砂、粉砂时,应掺加粒径为20~50mm的卵石或碎石,但要分布均匀,不可集中在一起。

材料中的含泥量要严格控制,砂垫层的含泥量不宜超过5%,也不得含有草根、垃圾等有机质杂物;当作为排水垫层时,其含泥量不宜超过3%,并且不应有过大的石块和碎石,因碎石过大会导致垫层本身的不均匀压缩,一般要求碎(卵)石最大粒径不宜大于50mm。对于湿陷黄土地基不应选用透水性的砂石垫层。

2.施工方法和机具选择

砂垫层和砂石垫层选择适宜的施工方法和施工机具,不仅与施工速度、难易程度密切相关,而且直接影响垫层的施工质量和功能效果,甚至还会影响建筑物的安危。根据工程实践经验,除下卧层是高灵敏度的软土在铺设第一层时不能采用振动能量大的机具扰动下卧层外,在一般情况下,砂垫层和砂石垫层应首选振动施工方法和机具,因为振动比碾压更能使砂和砂石密实。

我国目前砂垫层和砂石垫层常用的施工方法有:平振法、插振法、夯实法、水撼法、碾压法等,如表2-4所示。常用的施工机具有:振捣器、振动压实机、平板振动器、蛙式打夯机等。

表2-4 砂和砂石垫层每层铺筑厚度及最优含水量

注:在地下水位以下的垫层其最下层的铺筑厚度可比上表中增加50mm。

3.砂石垫层的施工要点

(1)在垫层铺设前首先进行验槽,将基底表面的浮土、淤泥、杂物清除干净,两侧应设置一定坡度,防止振捣时出现塌方。基坑(槽)两侧附近如有低于地基的孔、洞、沟、井和墓穴等,应在未进行垫层施工前加以填实。

(2)垫层底面宜铺设在同一标高上,如深度不同时,土面应挖成阶梯或斜坡形状搭接,并按先深后浅的顺序施工,特别对搭接处应夯压密实。分层铺设时,接头处也应做成斜坡或阶梯形搭接,每层错开0.5~1.0m,并注意充分捣实。

(3)当采用人工级配的砂石垫层时,应当将砂石材料按设计比例搅拌均匀后,再进行铺设捣实。

(4)开挖基坑铺设垫层时,严禁扰动垫层下卧层及侧壁的软弱土层,防止被践踏、受冻或浸泡,否则土的结构会在施工时遭到破坏,其强度就会显着降低。因此,基坑开挖后应及时进行回填,不可暴露过久。

如果垫层下有厚度较小的淤泥或淤泥质土层,在碾压荷载下抛石能挤入该层底面时,可以采用挤淤方法处理,先在软弱土面上堆填块石、片石等材料,然后将这些材料压入,以置换和挤出软弱土,最后再作垫层。

(5)垫层应分层进行铺设,并分层夯实或压实,基坑内预先安好5m×5m网格标注,控制每层的铺设厚度。分层厚度应根据选用的振动力大小而定,一般为15~20cm,且不宜超过表2-4中的数值。振动夯实要做到交叉重叠1/3,严格防止出现漏振和漏压。夯实、碾压遍数、振实时间,应当通过试验确定。

(6)采用细砂作为垫层材料时,不宜使用平振法、插振法和水撼法,以免产生液化现象,不仅不能加固地基,反而降低其承载能力。

(7)当地下水位较高或在饱和的软弱土地基上铺设垫层时,应加强基坑内及外侧四周的排水工作,防止砂垫层因泡水而引起砂的流失,保持基坑边坡稳定或采取降低地下水位措施,使地下水位降低到基坑底500mm以下。

(8)当采用水撼法式插振法施工时,以振捣棒振幅半径的1.75倍为间距(一般为400~500mm)插入振捣,依次振实,以不再冒气泡为准,直至完成;同时应采取措施做到有控制地注水和排水。垫层接头应重复加强振捣,插入式振捣棒振完所留下的孔洞应用砂填实;在振动底层垫层时,不得将振动棒插入原土层或基槽边部,以避免使软土混入砂垫层而降低垫层的强度。

(9)垫层铺设振实完毕后,应立即进行下道工序的施工,严禁小车及人在垫层上面行走,如果必须在上面作业时,可在垫层上铺设铺板。

(四)砂石垫层的质量检查

在捣实后的砂垫层中,用环刀法取试验规定的试样,容积一般不小于200cm3,测定其干密度,以不小于通过试验所确定的该砂料在中密状态时的干密度数值为合格。如果为砂石垫层,可在垫层中设置纯砂检查点,在同样施工条件下取样检查。

随便看

 

离鸟网收录3541549条中英文词条,其功能与新华字典、现代汉语词典、牛津高阶英汉词典等各类中英文词典类似,基本涵盖了全部常用中英文字词句的读音、释义及用法,是语言学习和写作的有利工具。

 

Copyright © 2004-2024 vtrois.com All Rights Reserved
更新时间:2026/5/25 9:00:29