网站首页  词典首页


请输入您要查询的字词:

 

字词 砌筑砂浆材料用量计算
类别 中英文字词句释义及详细解析
释义

砌筑砂浆材料用量计算


根据砌体结构设计规范(GBJ3-88),砂浆强度等级划分为M15、M10、M7.5、M5、M2.5、M1、M0.4。砂浆又分为水泥砂浆、水泥混合砂浆、石灰砂浆和粘土砂浆等。

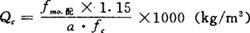
(1)砌筑砂浆水泥用量的理论计算

确定每1立方米砂浆的水泥用量公式为:

式中 Qc-水泥用量(kg/m3);

fmo.配-砂浆抗压强度(MPa);

1.15-强度提高系数;

a-经验系数(见调整系数a值表5-2)选用;

fc-水泥强度MPa(兆帕)。

〔计算例〕 已知砌筑砂浆强度M2.5(25号),采用普通水泥31.88兆帕(325号),求1立方米砂浆水泥用量。

(2)确定1立方米砂浆的混合材料用量其计算公式为:D=350-Qc(kg)

式中 D-石膏用量(kg)。

〔计算例1〕 砌筑砂浆M2.5(25号)为增加和易性,补充石灰膏,求石灰膏用量。

石灰膏用量(D)=350-140=210kg

表5-2 调整系数a值表

注:(1)表中带括号的系指旧标号,以便对照。

(2)新的砂浆强度等级见砖石和砂浆强度等级与标号换算(表10-15、表10-16、表10-17);水泥强度见新旧水泥抗压强度与标号换算(表10-18)。

〔计算例2〕 采用矿渣水泥31.88兆帕(325号)。水泥容重1300千克/米3,砂容重1500千克/米3,石灰膏容重1350千克/米3,计算试配强度M2.5兆帕及材料用量。

①试配强度((强度等级)

=1.15×2.5=2.875≈2.9MPa

②计算水泥用量

③计算石灰膏用量

石灰膏量(D)=350-140=210kg

④计算砂用量

砂取定1m3

砂的质量=砂容重×砂量

1500×1=1500kg/m3

⑤质量配合比

水泥∶石灰膏∶砂=140∶210∶15001∶1.5∶10.71

⑥体积配合比

随便看

 

离鸟网收录3541549条中英文词条,其功能与新华字典、现代汉语词典、牛津高阶英汉词典等各类中英文词典类似,基本涵盖了全部常用中英文字词句的读音、释义及用法,是语言学习和写作的有利工具。

 

Copyright © 2004-2024 vtrois.com All Rights Reserved
更新时间:2026/4/8 18:38:14