网站首页  词典首页


请输入您要查询的字词:

 

字词 硫代二乙二醇双(β-氨基丁烯酸)酯
类别 中英文字词句释义及详细解析
释义

硫代二乙二醇双(β-氨基丁烯酸)酯


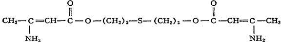
【结构式】:

【释文】:

性质 淡黄色粉末。具有氨气味。不溶于水,微溶于有机溶剂。

用途 本品用途与1,4-丁二醇双(β-氨基丁烯酸酯)类似。透明性极好。在硬质聚氯乙烯中的用量为2%左右。

毒性 本品毒性极微,对大白鼠的经口LD50为7.24克/公斤体重。以每日5毫克/公斤体重的剂量对大白鼠经口染毒进行为期两年的慢性毒性实验,未见致毒作用,亦无致癌性。联邦德国、法国、意大利许可本品用于食品包装材料、最高用量规定分别为3%(联邦德国)和2%(法国、意大利)。

国外商品名

随便看

 

离鸟网收录3541549条中英文词条,其功能与新华字典、现代汉语词典、牛津高阶英汉词典等各类中英文词典类似,基本涵盖了全部常用中英文字词句的读音、释义及用法,是语言学习和写作的有利工具。

 

Copyright © 2004-2024 vtrois.com All Rights Reserved
更新时间:2026/4/8 23:55:20