网站首页  词典首页


请输入您要查询的字词:

 

字词 硫化物的测定
类别 中英文字词句释义及详细解析
释义

硫化物的测定


(一)原理 硫化物与碘液作用,过量的碘采用碘量法直接滴定;借以测定样品中硫化物。

(二)适用范围 黑卤

(三)测定手续 吸取5~20.00ml样品溶液,于250ml盛有10~20.00ml 0.01N碘溶液(20.00ml)的定碘瓶中,加水至约50ml,加1ml 1∶4盐酸溶液,用硫代硫酸钠标准溶液滴定至浅黄色,加2ml 1%淀粉指示液,继续滴定至无色。同时作空白试验。

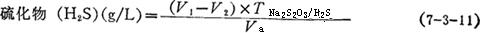
(四)计算

式中 V1——空白试验硫代硫酸钠标准溶液用量(ml)

V2——滴定剩余碘溶液时硫代硫酸钠标准溶液用量(ml)

——硫代硫酸钠标准溶液对硫化氢的滴定度(g/ml)

Va——取样品量(ml)

随便看

 

离鸟网收录3541549条中英文词条,其功能与新华字典、现代汉语词典、牛津高阶英汉词典等各类中英文词典类似,基本涵盖了全部常用中英文字词句的读音、释义及用法,是语言学习和写作的有利工具。

 

Copyright © 2004-2024 vtrois.com All Rights Reserved
更新时间:2026/4/8 16:06:37