网站首页  词典首页


请输入您要查询的字词:

 

字词 确定合成标准不确定度与展伸不确定度
类别 中英文字词句释义及详细解析
释义

确定合成标准不确定度与展伸不确定度


1.合成标准不确定度

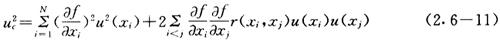
y=f(x1,x2,…xN)

知合成标准不确定度uc(y)的平方

式中r为相关系数。

引入不确定度分量

如各r(xi,xj)=0,则

即各分量无关时,用平方和法合成。

如各r(xi,xj)=1,且符号相同,则

uc=∑ui (2.6-14)

即各分量完全正相关,用线性和法合成。

uc(y)可简写为uc

如有u1=1.0,u2=1.0,u3=1.0,当无关时,当完全正相关时uc=∑ui=3.0

2.展伸不确定度

(1)t分布应用

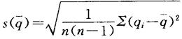
对某量作等精度独立测量,得

q1,q2,…qn

则该量最佳值为

其估计标准差

如qi~N(μ,σ),我们有

而自由度v=n-1。

因t分布临界值tp(v)满足

P(|t|≤tp(v))=p

故以置信水准p成立

(2.6-15)

(2.6-16)

(2.6-17)

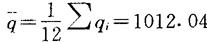
〔例2.6-6〕 测得的qi如下

1011.46 1010.76

1011.01 1014.13

1012.29 1012.98

1013.47 1010.46

1014.07 1011.25

1010.60 1012.02

于是

取置信水准p=0.95,由表2.2-1查得tp(v)=t0.95(11)=2.20,故

(2)确定展伸不确定度

虽然uc(y)可通用于表示测量结果不确定度,但在某些商业、工业及规程中,当涉及健康,安全等因素时,还须将uc(y)放大,以得到展伸不确定度

U=kuc(y) (2.6-18)

式中k为包含因子。而

k=tp(v) (2.6-19)

为t分布临界值,且p为置信水准,又合成标准不确定度自由度

而vi为ui的自由度。

当缺乏vi时,则v无法算出,此时取

k=2-3

【参考文献】:

[1]王立吉,计量学基础,中国计量出版社,1988。

[2]BIPM、IEC、IFCC,IUPAC,IUPAP,OIML,Guide to the Expression of Uncertainty in Measurement, ISO,1993.

[3]刘智敏,不确定度原理,中国计量出版社,1993。

[4]刘智敏,误差分布论,原子能出版社,1988。

[5]刘智敏,误差与数据处理,原子能出版社,1983。

[6]Liu Zhimin(刘智敏),Measurement Uncertainty and Its Correlation Combination,Proceeding of ISEM, 1993.

[7]国家计量总局量值传递处编,计量技术考核纲要,计量出版社,1981。

[8]国家技术监督局审定,刘智敏等编审,全国计量检定人员考核统一试题集第六分册三,误差及数据处理,陕西科学技术出版社,1990。

随便看

 

离鸟网收录3541549条中英文词条,其功能与新华字典、现代汉语词典、牛津高阶英汉词典等各类中英文词典类似,基本涵盖了全部常用中英文字词句的读音、释义及用法,是语言学习和写作的有利工具。

 

Copyright © 2004-2024 vtrois.com All Rights Reserved
更新时间:2026/4/6 22:06:18