网站首页  词典首页


请输入您要查询的字词:

 

字词 确定图上任意区域的面积
类别 中英文字词句释义及详细解析
释义

确定图上任意区域的面积


在工程建设中,常需要在地形图上量测一定区域范围内的面积。量测面积的方法较多,常用到的方法有图解几何法、坐标解析法和求积仪法等。在地形图上量算面积是地形图应用的一项重要内容。

1.图解几何法

当所量测的图形为多边形时,可将多边形分解为几个三角形、梯形或平行四边形,如图8-4(a)所示。用比例尺量出这些图形的边长,按几何公式算出各分块图形的面积,然后求出多边形的总面积。

当所量测的图形为曲线连接时,如图8-4(b)所示,则先在透明纸上绘制好毫米方格网,然后将其覆盖在待量测的地形图上,数出完整方格网的个数,然后估量非整方格的面积相当于多少个整方格(一般将两个非整方格看做一个整方格计算),得到总的方格数n;再根据比例尺确定每个方格所代表的图形面积S,则得到区域的总面积S=nS。

也可以采用平行线法计算曲线区域面积,如图8-4(c)所示,将绘有间距d=1mm或2mm的平行线组的透明纸或透明膜片覆盖在待量测的图形上,则所量图形面积等于若干个等高梯形的面积之和。此法可以克服方格网膜片边缘方格的凑整太多的缺点。如图8-4(c)中所示的平行虚线是梯形的中线。量测出各梯形的中线长度,则图形面积为:

S=d(ab+cd+ef+…+yz) (d为平行线间距)

图8-4 区域面积的计算

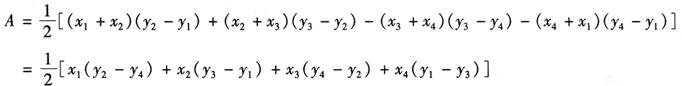
2.坐标解析法

坐标解析法是根据已知几何图形各顶点坐标值进行面积计算的方法。当图形边界为闭合多边形,且各顶点的平面坐标已经在地形图上量出或已经在实地测量,则可以利用多边形各顶点的坐标,用坐标解析法计算出图块区域面积。在图8-5中,1,2,3,4为多边形的顶点时,其平面坐标为已知,分别为1(x1,y1),2(x2,y2),3(x3,y3),4(x4,y4),则该多边形的每一条边及其向y轴的坐标投影线(图中虚线)和y轴都可以组成一个梯形,多边形的面积A就是这些梯形面积的和或差,即可按下式计算出图形的区域面积:

对于任意的n边形,可以写出按坐标计算面积的通用公式

事实上,也可以按将各点向x轴投影来计算区域面积。

图8-5 坐标解析法面积量算

3.求积仪法

求积仪是一种专门供图上量算面积的仪器,其优点是操作简便、速度快,适用于任意曲线图形的面积量算,并能保证一定的精度。

求积仪有机械求积仪和电子求积仪两种。在此简单介绍一种使用较多的电子求积仪。

如图8-6所示为KP-90N电子求积仪,仪器是在机械装置动极、动极轴、跟踪臂(相当于机械求积仪的描迹臂)等的基础上,增加了电子脉冲记数设备和微处理器,能自动显示测量的面积,具有面积分块测定后相加、相减和多次测定取平均值,面积单位换算,比例尺设定等功能。面积测量的相对误差为2/1000。

图8-6 KP-90N电子求积仪

(a)仪器正面;(b)仪器底部止使用5min后,将自动断电,以节约电源;仪器配有输出电压为5V、电流为1.6A的专用充电器,可以使用电压为100~240V的交流电为电池充电。

仪器面板上设有22个键和一个显示窗(图8-7),其中显示窗上部为状态区,用来显示电池、存储器、比例尺、暂停及面积单位;下部为数据区,用来显示量算结果和输入值。其中,ON:打开电源;OFF:关闭电源;SCALE:设定图纸的纵、横向比例尺。仪器允许所测图形的纵、横向比例尺不相同,这对测量纵断面图的面积非常有用。如果已经测量了面积,则完成比例尺的设置后,显示窗中的面积值将自动转换为新设比例尺下的面积值。自动断电或关闭电源,设置的比例尺仍被记忆。UNIT1:面积单位键1;UNIT2:面积单位键2。仪器有米制(km2,m2,cm2)、英制(acre,ft2,in2)和日制(町、反、坪)三种面积单位制,它们在状态区按列排列。每按一次UNIT1键,将按米制→英制→日制的顺序循环选择。选定了单位制后,每按一次UNIT2键,则在已选定的某个单位制内循环,如选择的是米制,则在km2→m2→cm2内循环。0~9:数字键;START:测量启动键;HOLD:测量暂停键。按HOLD键,显示窗中的“HOLD”字符被显示,当前的面积量算值被固定,并暂时停止面积测量,此时移动跟踪放大镜,显示的面积值不变;当要继续量算面积时,再按HOLD键,面积量算再次开始,该键主要用于分块量算面积。MEMO:测量结束和记忆键(存储)。面积量算结束后,按MEMO键,则将显示窗中显示的面积量算值存储在仪器的存储器中,此时显示窗中的“MEMO”字符被显示。仪器有10个存储器,最多可存储10个面积量算值。AVER:计算平均值键。按AVER键,可以对存储器中的面积量算值取平均值。C/AC:清除键,清除存储器中记忆的全部面积量算值。

图8-7 KP-90N电子求积仪面板

随便看

 

离鸟网收录3541549条中英文词条,其功能与新华字典、现代汉语词典、牛津高阶英汉词典等各类中英文词典类似,基本涵盖了全部常用中英文字词句的读音、释义及用法,是语言学习和写作的有利工具。

 

Copyright © 2004-2024 vtrois.com All Rights Reserved
更新时间:2026/5/30 16:00:17