网站首页  词典首页


请输入您要查询的字词:

 

字词 碳水化合物的测定
类别 中英文字词句释义及详细解析
释义

碳水化合物的测定


还原糖包括葡萄糖、果糖、乳糖、麦芽糖。在葡萄糖分子中含有游离的醛基,在果糖分子中含有游离的酮基,在乳糖和麦芽糖分子中含有游离的半缩醛羟基,都具有还原性,在适当的条件下易被氧化,这些糖类统称为还原糖。食品中所含还原糖,有些是天然存在的,有些是加工过程中所添加或在加工过程中由蔗糖、淀粉或糊精等非还原糖经水解而来的。

还原的测定方法很多,目前主要采用直接滴定法。

(一)还原糖测定——直接滴定法(GB 5009.7-1985)

1.原理

样品经除去蛋白质后在加热的条件下,以亚甲基蓝作指示剂,用样液直接滴定标定过的碱性酒石酸铜溶液,达到终点时,稍过量的还原糖将蓝色的亚甲基蓝指示剂还原为无色,而显出氧化亚铜的砖红色。

本法适用于各类食品还原糖的测定,比高锰酸钾法操作简单。

2.试剂

(1)碱性酒石酸铜甲液、乙液:同高锰酸钾法。

(2)亚甲蓝(次甲基蓝)指示剂(1%水溶液)。

(3)乙酸锌溶液:取乙酸锌结晶21.9g,加3mL冰乙酸,加水溶解至100mL。

(4)10.6%亚铁氰化钾溶液。

(5)葡萄糖标准液:精确称取经过在98~100℃干燥至恒重的纯葡萄糖1.000g于100mL容量瓶中,加水溶解后加入5mL盐酸,并用水稀释至刻度,此液每毫升相当于1mg葡萄糖。

3.操作方法

(1)样品处理:

①乳类、乳制品及含蛋白质的冷食类:称取2.5~5g固体样品(吸取25~50mL液体样品),置于250mL容量瓶中,加50mL水,摇匀后慢慢加入5mL乙酸锌溶液及5mL10.6%亚铁氰化钾溶液,加水至刻度混匀,静置30min,用干燥滤纸过滤,弃去初滤液,滤液备用。

②含多量淀粉的食品:称取10~20g样品,置于250mL容量瓶中,加200mL水,在45℃水浴中加热1h,并经常振摇。冷却后加水至刻度,混匀,静置。吸取200mL上清液于另一250mL容量瓶中,慢慢加入5mL乙酸锌溶液及5mL 10.6%亚铁氰化钾溶液,加水至刻度,混匀,静置30min,用干燥滤纸过滤,弃去初滤液,滤液备用。

(2)标定碱性酒石酸铜溶液:吸取5.0mL碱性酒石酸铜甲液及5.0mL乙液,置于150mL锥形瓶中,加水10mL,加入玻璃珠2粒,用滴定管加入葡萄糖标准溶液约9mL,用电炉加热,控制在2min内沸腾,趁热以每2s 1滴的速度继续滴定至蓝色刚好退去为终点,记录消耗葡萄糖标准液的总体积V0(mL),同时平行操作3份,取其平均值,计算每10mL(甲液、乙液各5mL)碱性酒石酸铜溶液相当于葡萄糖的质量m(mg)。

(3)样品溶液预测:各吸取5.0mL碱性酒石酸铜甲液、乙液,置于150mL锥形瓶中,加水10mL,加入玻璃珠2粒,控制在2min内加热至沸,趁热以先快后慢的速度,从滴定管中滴加样液,并保持溶液沸腾状态,待溶液颜色变浅时,趁沸每2s 1滴的速度继续滴定至蓝色刚好退去为终点,记录样液消耗体积。

(4)样品溶液测定:各吸取5.0mL碱性酒石酸铜甲液、乙液,置于150mL锥形瓶中,加水10mL,加入玻璃珠2粒,用滴定管加入比预定体积少1mL的样品溶液,使在2min内加热至沸,趁沸以每2s 1滴的速度继续滴定至蓝色刚好退去为终点,记录样液消耗体积,同法平行操作3份,得出平均消耗体积V(mL)。

4.计算

式中 m——10mL碱性酒石酸铜溶液(甲液、乙液各5.0mL)相当于还原糖(以葡萄糖计)的质量(mg);m=葡萄糖标准溶液浓度(mg/mL)×滴定量V0(mL);

W——样品的质量(g);

V——测定时平均消耗样品溶液体积(mL)。

5.注意事项

(1)醋酸锌及亚铁氰化钾作为蛋白质沉淀剂,这两种试剂混合形成白色的沉淀,能使溶液中的蛋白质共同沉淀下来,主要用于乳制品及富含蛋白质的浅色糖液。其澄清效果较好。

(2)碱性酒石酸铜甲、乙液应分别配制,分别贮藏,不能事先混合贮藏。

(3)测定中滴定速度、加热时间及热源稳定程度,锥形瓶壁厚度对测定精密度影响很大,故在预测定及正式测定过程中,实验条件应力求一致。平行测定的样品消耗毫升数相差应不超过0.1mL。

(4)整个滴定过程应保持在微沸状态下进行,且继续滴到终点的毫升数应控制在0.5~1mL,否则应重做。

(5)亚甲蓝被还原糖还原为无色,表示到达终点,当与空气接触时又被氧化为蓝色,此时不应再滴。

(6)配制标准液的葡萄糖应先于50~60℃干燥30min,然后温度升至98~100℃于烘箱中烘干至恒重。

(二)蔗糖的测定(GB5009.8-1985)

1.原理

样品除去蛋白质后,其中蔗糖经盐酸水解转化为还原糖,再按还原糖测定。水解前后还原糖的差值为蔗糖含量。

本法适用于各类食品中蔗糖含量的测定。

2.试剂

(1)6mol/L盐酸 量取50mL盐酸,加水稀释至100mL。

(2)甲基红指示剂 0.1%乙醇溶液。

(3)20%氢氧化钠溶液。

其余试剂同“还原糖的测定”中的直接滴定法。

3.操作方法

精确吸取2份按还原糖样品处理后的稀释液50mL,置于100mL容量瓶中,一份加6mol/L盐酸5mL,在68~70℃水浴中加热15min,冷却后加甲基红指示剂2滴,用20%氢氧化钠溶液中和至中性,加水至刻度,混匀。另一份直接加水稀释至100mL,混匀。按前面“还原糖测定”中的直接滴定法测定还原糖。

4.计算

x=(R2-R1)×0.95

式中 x——样品中蔗糖含量(%);

R2——水解处理后还原糖含量(%);

R1——不经水解处理还原糖含量(%);

0.95——还原糖(以葡萄糖计)换算为蔗糖的系数。

5.说明与注意事项

(1)测定时间越短越好,避免空气中氧的干扰。

(2)测定蔗糖时,如样品中含有还原糖,准确称取被测还原糖样品处理后的稀释液两份,一份按上法转化,测定由转化而来的还原糖及原来存在的还原糖总量。另一份不经转化,直接测定还原糖。两者之差即为蔗糖的含量。

(3)其他注意事项同还原糖测定。

(三)淀粉的测定——酸水解法(GB 5009.9-1985)

1.原理

样品经除去脂肪及可溶性糖类,用酸水解淀粉为具有还原性的单糖,然后按还原糖测定法测定还原糖量,再折算为淀粉的含量。反应式如下:

即1克还原糖相当于0.9克淀粉。

本法适用于各类食品中淀粉含量的测定。

2.试剂

(1)乙醚。

(2)85%乙醇溶液。

(3)6mol/L盐酸溶液。

(4)40%氢氧化钠溶液。

(5)10%氢氧化钠溶液。

(6)甲基红指示剂:0.2%乙醇溶液。

(7)精密pH试剂。

(8)20%乙酸铅溶液。

(9)10%硫酸钠溶液。

其余试剂同“还原糖测定”中直接滴定法。

3.仪器

(1)水浴锅。

(2)高速组织捣碎机:1200r/min。

(3)回流装置并附250mL锥形瓶。

4.操作方法

(1)样品的处理:

①粮食、豆类、糕点、饼干等较干燥的样品:称取2.0~5.0g磨碎过40目筛的样品,置于放有慢速滤纸的漏斗中,用30mL乙醚分3次洗去样品中的脂肪,弃去乙醚。再用85%乙醇溶液150mL分数次洗涤残渣,除去可溶性糖类物质。并滤干乙醇溶液,以100mL水洗涤漏斗中的残渣并转移至250mL锥形瓶中,加入6mol/L盐酸30mL,接好冷凝管,置沸水浴中回流2h。回流完毕后,立即置流水中冷却。待样品水解液冷却后,加入2滴甲基红指示剂,先以40%氢氧化钠溶液调至黄色,再用6mol/L盐酸将水解液调至刚变红色。若水解液颜色较深,可用精密pH试纸测试,使样品水解液的pH约为7。加20%乙酸铅溶液20mL,摇匀,放置10min。再加10%硫酸钠溶液20mL,以除去过多的铅,摇匀后将全部溶液及残渣转入500mL容量瓶中,用水洗涤锥形瓶,洗液合并于容量瓶中,加水稀释至刻度。过滤,弃去初滤液20mL,滤液供测定用。

②蔬菜、水果、各种粮豆含水的熟食制品:按1∶1加水。在组织捣碎机中捣成匀浆(蔬菜、水果需先洗净、晾干,取可食部分)。称取5~10g匀浆(液体样品可直接量取)于250mL锥形瓶中,加30mL乙醚振摇提取(除去样品中的脂肪),用滤纸过滤除去乙醚,再用30mL乙醚淋洗2次,弃去乙醚。以下按①自“再用85%乙醇溶液150mL”起依次操作。

(2)测定:按“还原糖的测定”中“直接滴定法”操作。同时做试剂空白试验。

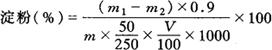
5.计算

式中 A1——测定用样品水解液中还原糖的含量(mg);

A2——试剂空白中还原糖的含量(mg);

m——样品质量(g);

V——测定样品水解液体积(mL);

500——样品液总体积(mL);

0.9——还原糖折算成淀粉的折算系数。

6.说明及注意事项

(1)此法适用于含淀粉较多,而不含其他能水解为还原糖的物质,因此,在测定淀粉量少,而富含半纤维素、多缩戊糖的样品时,如麸皮、稻壳、谷糠、高粱等,或含壳皮较高的食物,最好采用淀粉酶水解法,用酸水解法会使它们水解为还原糖而使测定结果偏高。

(2)回流装置可于250mL锥形瓶口安装一带磨口的冷凝管或长约1m直径为1cm的玻璃管,起回流作用,以保证水解过程中盐酸浓度不至于发生较大改变。

(3)样品中脂肪含量较少时可免去乙醚溶解和洗去脂肪的操作。乙醚可用石油醚代替。

(4)若样品为液体,则采用分液漏斗振摇后,静置分层去除乙醚。

(四)淀粉的测定——酶水解法(GB 5009.9-1985)

1.原理

样品经除去脂肪及可溶性糖类后,其中淀粉用淀粉酶水解成双糖,再用盐酸将双糖水解成还原性单糖,最后按还原糖测定法测定还原糖量,再乘以换算系数0.9,得到淀粉含量。

2.试剂

(1)0.5%淀粉酶溶液:称取淀粉酶0.5g,加100mL蒸馏水,加入数滴甲苯或三氯甲烷,防止生霉,贮藏于冰箱中。

(2)碘溶液:称取3.6g碘化钾溶于20mL水中,加入1.3g碘,溶解后加水稀释至100mL。

(3)乙醚。

(4)85%乙醇。

其余试剂同“蔗糖测定”。

3.操作方法

(1)样品处理:称取2~5g样品,置于放有折叠滤纸的漏斗内,先用50mL乙醚分5次洗除脂肪,再用85%乙醇约100mL洗去可溶性糖类,将残留物移至250mL烧杯中,并用50mL水洗涤滤纸及漏斗,洗液并入烧杯内,将烧杯置沸水浴上加热15min,使淀粉糊化,放冷至60℃以下,加20mL淀粉酶液,在55~60℃条件下保温1h,并经常搅拌。然后取1滴此液加1滴碘液,应不显现蓝色,若呈蓝色,再加热糊化并加20mL淀粉酶液,继续保温,直至加碘不显色为止。加热至沸,冷后移入250mL容量瓶中,并加水至刻度,混匀,过滤,弃去初滤液,取50mL滤液,置于250mL锥形瓶中,加6mol/L盐酸5mL,装上回流冷凝管,在沸水浴中回流1h,冷却后加2滴甲基红指示剂,用20%氢氧化钠溶液中和至中性,溶液转入100mL容量瓶中,洗涤锥形瓶,洗液并入100mL容量瓶中,加水至刻度,混匀备用。

(2)测定:按“还原糖测定法”中“直接滴定法”进行测定。同时取50mL水及与样品处理时相同量的淀粉酶溶液试剂做一空白实验。

4.计算

式中 m1——样品水解液中还原糖的质量(mg);

m2——空白液中还原糖的质量(mg);

m——样品的质量(g);

V——测定还原糖时取水解液的体积(mL);

0.9——还原糖(以葡萄糖计)换算成淀粉的系数。

5.说明与注意事项

(1)若样品中脂肪含量很少,可免去乙醚清洗步骤。

(2)淀粉酶能使淀粉水解为麦芽糖,具有专一性,市售品可按说明书使用,通常的糖化能力为1∶25或1∶50,当温度超过85℃或有酸碱存在时将失去活性。长期贮藏,活性降低。经配制后的酶液活性降低更快,应临用时配制,贮藏于冰箱,并在使用前对其糖化能力进行测定,以确定酶的用量。即用已知量可溶性淀粉,加入不同量的淀粉酶液,置55~60℃水浴中保温1h后,用碘液检查是否存在淀粉,以确定酶的活力及水解样品时所需加入的酶量。

(3)淀粉水解后的双糖主要是麦芽糖,当用酸水解成单糖时,比蔗糖水解要求的温度要高,时间要长。

(4)若无淀粉酶可用麦芽汁代替。取大麦粒200g,加水浸泡12h,平铺于搪瓷盘中约1cm,让其发芽。待芽长1cm左右,取出发芽麦粒50g,磨细加400mL水,常温下浸泡3h,过滤,滤液加甲苯或氯仿数滴,防止长霉,贮藏于冰箱备用。

(5)此法适用于含半纤维素等非淀粉多糖样品,测定结果较准确。

随便看

 

离鸟网收录3541549条中英文词条,其功能与新华字典、现代汉语词典、牛津高阶英汉词典等各类中英文词典类似,基本涵盖了全部常用中英文字词句的读音、释义及用法,是语言学习和写作的有利工具。

 

Copyright © 2004-2024 vtrois.com All Rights Reserved
更新时间:2026/4/8 22:03:15