编码 GB 20.017;INS 1413
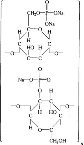
化学结构

性状 白色或近白色的粉末或颗粒,无味,无臭,溶于水,不溶于乙醇、乙醚或氯仿。溶解度和膨润力均大于淀粉,温度越高差别越大。透明度为18%~25%,大于淀粉的透光度(8%)。
制法 在碱性条件下,淀粉分子中的醇羟基与磷酸盐起酯化反应,生成淀粉磷酸酯。
质量标准 参见羟丙基淀粉
鉴别方法 本品呈一般食用变性淀粉反应和磷酸盐反应。
1.一般食用变性淀粉反应 同羟丙基淀粉鉴别方法1、2、3。
2.磷酸盐反应 参见焦磷酸钠。
毒理学依据
1.GRAS FDA-21CFR172.892。
2.ADI 无需规定(FAO/WHO,1994)。
使用 凝胶剂、增稠剂等。
使用范围及使用量
(1)我国《食品添加剂使用卫生标准》(GB 2760-1996)规定:用于方便面和面条,最大使用量0.2g/kg;固体饮料,0.5g/kg;果酱,1.0g/kg。
(2)FAO/WHO规定:可单独使用或与其它增稠剂合用。用于含有奶油或其它脂肪和油的罐装蘑菇、芦笋、青豆、青刀豆、蜡豆、甜玉米、胡萝卜,使用量10g/kg;发酵后经热处理的调味酸奶及其制品,10g/kg;罐装沙丁鱼和沙丁鱼类产品,20g/kg(仅用于辅料中);代乳品,25g/kg(单用或与乙酰化磷酸双淀粉合用,仅用于水解蛋白或氨基酸为基料的产品中);罐装婴儿食品,60g/kg;婴儿代乳品,5g/kg;大豆制品(以氨基酸或水解蛋白质为基料的产品),25g/kg;罐装鲐鱼和竹荚鱼,60g/kg(仅用于辅料);肉汤和清肉汤、速冻鱼条和鱼块(指用面包粉或面拖料包裹的),按GMP。
质量标准
